互感元件相量模型
时间:2023-03-10来源:佚名
|
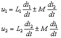
在正弦稳态下,由变量的相量表示,可将互感元件的伏安关系变为相量形式,得到互感电压的相量模型。
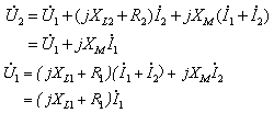
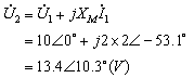
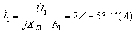
将互感元件等效为电感与受控电压源的组合,是分析含有互感元件电路的基本分析方法。 例 求图示电路中开路电压 ![]() 解:因为次级开路,只需要考虑流过XL1电流在XL2上感应的电压。根据电路中所标出的同名端,可以判断此感应电压的参考极性图中受控源所示。这里没有把完整的受控源模型画出来,只在XL2旁边画出感应电压的大小和极性,便于列写方程。 从中解出 所以 |










