位移电流
时间:2023-03-10来源:佚名
|
1、问题的提出
对于稳恒电流,安培环路定理可写为
即磁场强度矢量沿任意闭合路径的线积分等于该闭合回路所包围的传导电流的总和。由于传导电流的连续性,在以曲线 对 对 在穿过以曲线 2、位移电流假说
由介质中的高斯定理
得 即 式中
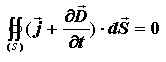
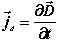
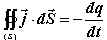
可见,位移电流就是变化的电场。而 上式左边表示流入闭合面的传导电流,右边表示流出闭合面的位移电流。且
|
|
1、问题的提出
对于稳恒电流,安培环路定理可写为
即磁场强度矢量沿任意闭合路径的线积分等于该闭合回路所包围的传导电流的总和。由于传导电流的连续性,在以曲线 对 对 在穿过以曲线 2、位移电流假说
由介质中的高斯定理
得 即 式中
可见,位移电流就是变化的电场。而 上式左边表示流入闭合面的传导电流,右边表示流出闭合面的位移电流。且
|









