换路定律的表达式是?换路与换路定律
时间:2023-03-10来源:佚名
|
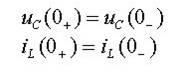
1.换路:把电路状态的改变(如通电、断电、短路、电信号突变、电路参数的变化等), 统称为换路。 设在t0时刻,电路发生换路。记换路前一瞬间为t0-,换路后一瞬间记为t0 ,通常取换路时刻t0=0,相应地也就有“ 0-”、“ 0 之分。 2.换路定律 在换路瞬间,电容元件的电压和电感元件电流不能跃变,只能连续地变化。这一结论称为换路定律。 数学表达式为 |
|
1.换路:把电路状态的改变(如通电、断电、短路、电信号突变、电路参数的变化等), 统称为换路。 设在t0时刻,电路发生换路。记换路前一瞬间为t0-,换路后一瞬间记为t0 ,通常取换路时刻t0=0,相应地也就有“ 0-”、“ 0 之分。 2.换路定律 在换路瞬间,电容元件的电压和电感元件电流不能跃变,只能连续地变化。这一结论称为换路定律。 数学表达式为 |








