物质磁性的微观结构
时间:2023-03-10来源:佚名
|
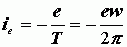
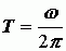
我们知道,物质是由分子组成,分子是由原子组成,而原子又可分为原子核和核外电子。近代科学实践证明,电子在原子或分子中的运动包括轨道运动和自旋两部分。绕原子核旋转的轨道运动的电子相当于一个电子流环,如图所示,它使原子看上去象小磁铁,称为基元磁铁。设电子以角速度 作逆时针旋转,环绕半径为 ,这样的电子电流 具有一定的磁矩,称为电子轨道磁矩或简称电子磁矩,用 表示。基元磁铁的N极方向就是电子磁矩的方向。由式可知,电子磁矩的大小为![]() S 为电子运动轨道所包围的平面的面积, 。用T表示的环绕周期, 因此 ![]() 于是
|
作逆时针旋转,环绕半径为
,这样的电子电流
具有一定的磁矩,称为电子轨道磁矩或简称电子磁矩,用
表示。基元磁铁的N极方向就是电子磁矩的方向。由式可知,电子磁矩的大小为
。用T表示的环绕周期,
因此 
(1)
表示,即
(2)





