描述简谐交流电的特征量
|
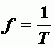
1、周期、频率和角频率 简谐交流电完成一次周期性变化所用的时间叫周期,用 表示,它是波形重复出现的最短时间。单位时间内简谐交流电完成周期性变化的次数叫频率,用 表示,单位:赫兹( )。它与周期的关系
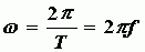
我国及其他多数国家发电厂发出的交流电的频率为50Hz ,通常称为“工频”,也有的国家采用60Hz的。 其它技术领域里应用着不同频率的交流电,如航空工业用的交流电为400Hz,电子技术里应用的音频电流约是 20Hz ~ 20KHz。 由此可见,用角频率也表示交流电变化的快慢。单位:弧度 / 秒( 2、瞬时值、最大值和有效值
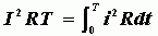
根据焦耳定律,交流电流在一个周期内产生的热量为 3、位相、初位相和位相差
它们之间的位相差角是 |
表示,它是波形重复出现的最短时间。单位时间内简谐交流电完成周期性变化的次数叫频率,用
表示,单位:赫兹(
)。它与周期的关系


个弧度,称之为电角度。单位时间内交流电变化的电角度称为电角速度,亦称角频率,用
表示。那么
)。
和直流电
,在相同的时间内产生的热量相同,我们就说这两个电流等效,这个直流电流
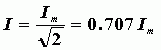
分别表示交流电流、电压和电动势的有效值。 



,代入上式,得


反映了正弦量在交变过程中瞬时值的变化进程。我们把
叫正弦交流电的位相(或位相角)。当
时,正弦量的位相
叫初位相。


,则
比
角(或
,则
比
落后
角(或
,我们称
, 我们称






