串联谐振电路频率响应
时间:2023-03-10来源:佚名
|
电路的频率特性 | |
|
电路的频率特性是指电路的稳态特性(阻抗、导纳、电压相量比、电流相量比等)随信号源频率而变化的性质。 |
| 串联谐振电路的带通频率特性 | ||
|
1. 串联谐振电路的频率特性 |
| |
|
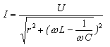
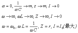
当频率变化时,电流的幅度变化情况为 |
|
| 通频带 | |
|
串联谐振电路中电流的幅频特性,当频率很低和很高时幅度都很低,只有在谐振频率附近的一段频率范围内幅度较高,这种频率特性称为带通频率特性。通常规定幅度高于某个值时所对应的频率范围为通频带。这里我们采用所谓“半功率点”频率作为通频带的上下截止频率。其定义为: | |
|
|







