互感元件串并联

时间:2023-03-10来源:佚名

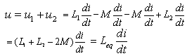
串联

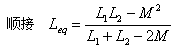
顺接串联:异名端相连
互感元件串并联
所以等效电感为
互感元件串并联

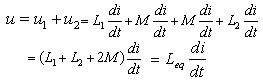
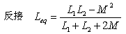
反接串联:同名端相连
互感元件串并联
互感元件串并联
由于实际电感值应为正值
互感元件串并联

互感元件串并联




互感元件串并联

并联

用正弦稳态相量法可求出等效电感
互感元件串并联

互感元件串并联


互感元件串并联

互感元件串并联
耦合系数

因为并联后的电感值非负
互感元件串并联
Mmax是互感可能达到的最大值;当M=Mmax时,两个电感的耦合最紧密。定义耦合系数
互感元件串并联
k=1 全耦合, k≈1 紧耦合 k<<1 松偶合

    相关阅读

    初中级维修电工试题

    一、填空 1、直流电机的转子是由 电枢铁心 、 绕组换向器 、 转轴 和 风叶 等部分组成,是进行 能量转换 的重要部分。 2、直流电动机 的励磁方式可分为 他 励、 并励 、 串励 和...
    2023-03-21

    推挽电路原理图解析 常用功率放大电路的工作原理

    一、功率放大电流的特点 对功放电路的了解或评价,主要从输出功率、效率和失真这三方面考虑。 1、为得到需要的输出功率,电路须选集电极功耗足够大的三极管,功放管的工作电流...
    2023-08-24
    推挽电路原理图解析 常用功率放大电路的工作原理

    电气新手必知:电阻电感电容串并联交流电路(专业电气学姐带你学三十四)

    在上一次的学习中,我们知道了什么是阻抗和阻抗串联电路,而阻抗的串并联电路,也是类似于电阻的串并联电路,差别在于两种电路的计算过程不同。 在实际的正弦交流电路中,特别...
    2023-06-27
    电气新手必知:电阻电感电容串并联交流电路(专业电气学姐带你学三十四)

    LED灯触摸开关电路图 触摸开关控制LED灯电路分析

    日常生活中我们碰到的LED灯各式各样,因此我们今天也介绍下控制LED灯的开关是如何去控制LED灯的,它有何巧妙之处,正好还可以复习一下三极管电路的用法,重在学习。 如上图所示为...
    2023-08-21
    LED灯触摸开关电路图 触摸开关控制LED灯电路分析

    什么是环网柜?为什么一般住宅高压供电宜采用环网供电方式?

    环网电压集中供电方式的核心是多支路分束供电,由主变电所35kV母线分别引出几个供电支路,每个支路可挂接3个左右的牵引降压变电所;有来自不同变电所的两个支路通过分段开关互...
    2023-06-11
    什么是环网柜?为什么一般住宅高压供电宜采用环网供电方式?

    热销商品

    加厚abs安全帽电工建筑工地程施工领导监理透气防砸头盔可印字V型

    这款加厚ABS安全帽专为电工、建筑工地施工人员、领导及监理设计,采用高强度ABS工程塑料,抗冲击、防砸性能优异,有效保障头部安全。帽体加厚设计,增强耐用性与防护等级...
    5.8

    水口钳高硬度模型剪钳电子钳工业级口水剪斜嘴钳偏口斜口专用钳子

    水口钳高硬度模型剪钳是一款工业级精密工具,专为电子、模型制作及精细作业设计。采用优质高碳钢材质,经热处理工艺打造,具备卓越的硬度和耐磨性,可轻松剪切金属引脚、...
    4.8

    170电子剪钳II 如意斜口钳 工业斜嘴钳水口钳 模型剪塑胶钳尖嘴钳

    170电子剪钳II如意斜口钳是一款专业级精密工具,集工业斜嘴钳、水口钳、模型剪、塑胶钳与尖嘴钳功能于一体,适用于电子维修、模型制作、手工艺及精密作业。其采用优...
    4.5

    安全帽国标工地加厚施工领导透气安全头盔建筑工程监理免费印字

    本款安全帽严格遵循国家GB 2811-2019标准,专为建筑工程、工地施工及监理人员设计。采用高强度ABS工程塑料,加厚壳体有效抗冲击,保障头部安全。帽体轻盈透气,内置可调...
    10

    包邮三角型简易螺丝刀三角十字螺丝刀螺丝批改锥起子五金工具5mm

    这款5mm三角型简易螺丝刀,专为拧紧或拆卸三角形螺丝设计,适用于电子维修、家电维护及精密仪器装配等场景。采用优质合金钢材质,刀头硬度高、耐磨损,确保长久使用不变...
    3.64

    网站栏目