交流电路的基本组成
时间:2023-03-10来源:佚名
|
交流电路的基本问题与直流电路一样,也是确定电路中各元件上的电流和电压关系以及电流、电压和功率在电路中的分配问题。而最基本的交流电路是由纯电阻、纯电容、纯电感分别组成的单一元件的理想电路。
式中
式中 定义电容电路的电压、电流的幅值(或有效值)之比为电容元件的容抗,用
式中 为电流的幅值。定义电感电路的电压、电流的幅值(或有效值)之比为电感元件的感抗,用
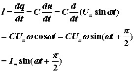
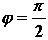
在位相关系上,电压位相比电流超前 |

流过。虽然电压和电流随时间变化,但在某一瞬间,仍可与一个稳恒电路的电压、电流相当,这时的交流电路可看作一个似稳电路,欧姆定律和基尔霍夫定律仍然适用。于是 
表示。那么
。
时间内,极板上电荷的变化为
。当电流、电压正方向相同时,电路的瞬时电流为

为电流的幅值。
表示,单位: 欧姆。那么

,
。
与自感电动势
的关系为



表示,单位:欧姆。那么
,
。






