数值比较器基本原理
时间:2023-03-10来源:佚名
|
在数字系统中,特别是在计算机中常常需要对两个数的大小进行比较。数值比较器就是对两个二进制数A、B进行比较,以判断其大小的逻辑电路。比较的结果有A>B,A
下面以2位的数值比较器为例,来说明数值比较器的工作原理。 2位数值比较器有两个2位的输入端为A1A0和B1B0,有三个1位输出端FA>B,FA
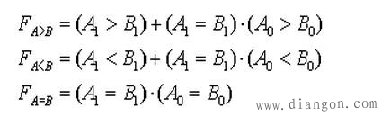
由真值表,我们可以看出:当高位(A1、B1)不相等时,无需比较低位(A0、B0),两个数的比较结果就是高位比较的结果。当高位相等时,两数的比较结果由低位比较的结果决定。根据这个原理,我们也可以设计出更多位的数值比较器。 由真值表可以写出如下逻辑表达式:
根据逻辑表达式可以画出逻辑图,如图1所示:
|












