反馈放大器方框图及一般表达式
时间:2023-03-10来源:佚名
方框图反馈放大器可用图2的方框图表示,图中X可以代表信号电压也可以代表信号电流(信号只包括中频段,不包括低频段和高频段,因此X上面不打点,即不用复数表示)。Xi为反馈放大器的输入信号,Xf为反馈放大器的反馈信号,Xd为基本放大器的净输入信号,Xo反馈放大器的 一般表达式
右图中各信号之间的关系 2. 基本放大器的放大倍数 右图开环放大倍数,是考虑了反馈网络负载效应的基本放大器的放大倍数。 3. 反馈网络的反馈系数 (见右图) 4. 反馈放大器的放大倍数 又称为闭环放大倍数(见右图)上式为反馈放大器的基本方程式。 5. 反馈深度 它是反馈放大器的一项重要 6. 环路放大倍数(见右图) |
输出信号,A为基本放大器的放大倍数,F为反馈网络的反馈系数。符号≈表示比较环节,即输入信号Xi与反馈信号Xf在该点叠加,Xi和Xf叠加后,若Xd增大为正反馈;反之,若Xd减小为负反馈。并规定,信号只能沿支路箭头方向传输。由基本放大器的输入和反馈网络的输出组成的闭合环路称为反馈环,由一个反馈环组成的反馈放大器称为单环反馈放大器。
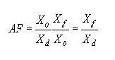
1.一般表达式的推导


(见右图)
指标,反馈放大器的性能都与它有关(见右图)。







