二阶电路动态方程

时间:2023-03-10来源:佚名

二阶电路是含有两个动态元件的动态电路,二阶电路中的动态变量一般要用二阶微分方程描述。这里我们只学习同时含有电感和电容元件的二阶动态电路。

实例1

试写出t>0时uc(t)的动态方程。
二阶电路动态方程
解:列写方程的依据是两类约束条件。
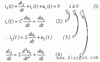
设定电路中变量uC(t), iL(t)及ic(t),由KVL:
二阶电路动态方程
在上式中应设法将uc(t)以外的变量通过两种约束关系向uc(t)转换。
对A点有KCL:
二阶电路动态方程
因此
二阶电路动态方程
将(2),(3),(4)代入(1)式中,即可得到
二阶电路动态方程

实例2

开关K在t=0时由a合向b, 写出t>0时uc(t)的动态方程。
二阶电路动态方程
解:以设uC(t) 为变量,由KVL方程:
二阶电路动态方程

二阶电路方程的一般形式

归纳以上两例,二阶动态方程一般式为:
二阶电路动态方程
其中a1,a2为常数(与电路结构和参数有关)。因此二阶电路方程为二阶常系数线性微分方程。

    热销商品

    加厚abs安全帽电工建筑工地程施工领导监理透气防砸头盔可印字V型

    这款加厚ABS安全帽专为电工、建筑工地施工人员、领导及监理设计,采用高强度ABS工程塑料,抗冲击、防砸性能优异,有效保障头部安全。帽体加厚设计,增强耐用性与防护等级...
    5.8

    水口钳高硬度模型剪钳电子钳工业级口水剪斜嘴钳偏口斜口专用钳子

    水口钳高硬度模型剪钳是一款工业级精密工具,专为电子、模型制作及精细作业设计。采用优质高碳钢材质,经热处理工艺打造,具备卓越的硬度和耐磨性,可轻松剪切金属引脚、...
    4.8

    170电子剪钳II 如意斜口钳 工业斜嘴钳水口钳 模型剪塑胶钳尖嘴钳

    170电子剪钳II如意斜口钳是一款专业级精密工具,集工业斜嘴钳、水口钳、模型剪、塑胶钳与尖嘴钳功能于一体,适用于电子维修、模型制作、手工艺及精密作业。其采用优...
    4.5

    安全帽国标工地加厚施工领导透气安全头盔建筑工程监理免费印字

    本款安全帽严格遵循国家GB 2811-2019标准,专为建筑工程、工地施工及监理人员设计。采用高强度ABS工程塑料,加厚壳体有效抗冲击,保障头部安全。帽体轻盈透气,内置可调...
    10

    包邮三角型简易螺丝刀三角十字螺丝刀螺丝批改锥起子五金工具5mm

    这款5mm三角型简易螺丝刀,专为拧紧或拆卸三角形螺丝设计,适用于电子维修、家电维护及精密仪器装配等场景。采用优质合金钢材质,刀头硬度高、耐磨损,确保长久使用不变...
    3.64

    网站栏目