品质因数
时间:2023-03-10来源:佚名
|
回路品质因数一般定义 | |
|
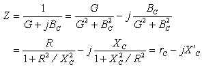
回路品质因数定义为 |
| 有损耗电感、电容元件的品质因数 | ||
|
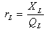
有损耗元件的品质因数定义为 |
| |
| 有损耗元件等效电阻的变换 | |
|
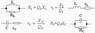
实际有损耗元件的损耗可以用等效串联电阻或等效并联电阻来表示,与理想电感或电容元件组合起来作为有损耗元件的模型。有损耗元件的模型、Q值以及等效串并联电阻的关系可以用下图来说明。注意这些等效关系是在高Q值条件下成立的。 | |
| 回路Q值与元件Q值的关系 | |
|
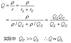
将实际有损耗元件的损耗用串联等效串联电阻来表示,可以找出回路Q值与有损耗元件Q值的关系。 | |
| 信号源内阻和负载电阻的影响 | |
|
信号源内阻和负载电阻的影响可以等效为实际有损耗元件的损耗电阻。下图中负载接在电容两端,其影响可以等效为回路中的一个串联电阻。 | |










