互感元件的研究

时间:2023-03-10来源:佚名

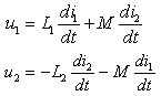
互感元件是一种四端元件,其电路符号和端口伏安特性如下所示

互感元件的研究

互感元件的研究
互感元件的研究 互感元件的研究

互感元件可以看成是实际电感线圈的模型。
给定互感元件电路模型时对互感电压极性的判断要靠同名端来进行。判断的方法是:当电流与其互感电压参考方向相对于同名端为关联参考方向时,互感电压为正


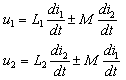
写出如图互感元件的端口伏安特性
互感元件的研究
利用同名端判断互感电压的极性,写出端口伏安特性:
互感元件的研究

注意:
1.互感电压的实际极性和大小不仅取决于同名端, 还取决于电流变化率。
2.在集中参数假设下,能量不能在电路之外自由空间传递,所以互感元件被看成一个四端元件,磁场能量的耦合在元件的内部进行。

相关阅读

怎样才能提高自己的电工技术水平呢?

学工控技术,拿10万年薪 马上注册,免费学习 超过100课时视频教程,免费下载海量学习资料 众所周知, “十年出个好电工” ,可想作为一个电工来说要面临着多大的挑战,身为一线电...
2023-06-27

贴片电容和电解电容的替换问题

要做贴片电容和电解电容替换的选择时,我们就要先了解它们各自的特性是什么样的。 贴片电容的特性:小体积、中等容值、高电压、高频率、低ESR、损耗小等。 电解电容的特性:大...
2023-04-30
贴片电容和电解电容的替换问题

看到自己几年前的个人工作总结,可能是每一个电厂人的心声

今年以来,在公司领导及部门班组的同心协力下,我顺利地度过了自己作为单元长的第一年。今年总结就是 有惊无险 ,毕竟是自己作为一个控制室主控的第一年,经验和技术都不扎实...
2023-06-13
看到自己几年前的个人工作总结,可能是每一个电厂人的心声

500kV超高压系统有何特点?

1)输送容量大,输电线路长,因此,500kV线路采用多分裂导线。 (2)500kV主变压器、并联电抗器容量大、结构复杂、尺寸高大、占地面积大。 (3)为了补偿大容量500kV主变压器的无功...
2023-06-13
500kV超高压系统有何特点?

电气新手必知:变压器原理(专业电气学姐带你学二十八)

谈及变压器,我想没有哪位电工朋友是没听过的,而且大家对它或多或少应该都有一定的了解。变压器是一种很常见的电气设备,它的应该非常广泛,不管是在电力系统或者的在电子电...
2023-06-27
电气新手必知:变压器原理(专业电气学姐带你学二十八)

热销商品

加厚abs安全帽电工建筑工地程施工领导监理透气防砸头盔可印字V型

这款加厚ABS安全帽专为电工、建筑工地施工人员、领导及监理设计,采用高强度ABS工程塑料,抗冲击、防砸性能优异,有效保障头部安全。帽体加厚设计,增强耐用性与防护等级...
5.8

欧普led筒灯3w孔灯超薄桶灯吊顶天花灯过道嵌入式洞灯客厅5w

欧普LED筒灯是一款高品质嵌入式照明产品,适用于客厅、过道、吊顶等多种场景。采用优质LED光源,提供3W和5W两种功率选择,光线柔和均匀,显色指数高,有效还原真实色彩。超...
7.45

水口钳高硬度模型剪钳电子钳工业级口水剪斜嘴钳偏口斜口专用钳子

水口钳高硬度模型剪钳是一款工业级精密工具,专为电子、模型制作及精细作业设计。采用优质高碳钢材质,经热处理工艺打造,具备卓越的硬度和耐磨性,可轻松剪切金属引脚、...
4.8

170电子剪钳II 如意斜口钳 工业斜嘴钳水口钳 模型剪塑胶钳尖嘴钳

170电子剪钳II如意斜口钳是一款专业级精密工具,集工业斜嘴钳、水口钳、模型剪、塑胶钳与尖嘴钳功能于一体,适用于电子维修、模型制作、手工艺及精密作业。其采用优...
4.5

安全帽国标工地加厚施工领导透气安全头盔建筑工程监理免费印字

本款安全帽严格遵循国家GB 2811-2019标准,专为建筑工程、工地施工及监理人员设计。采用高强度ABS工程塑料,加厚壳体有效抗冲击,保障头部安全。帽体轻盈透气,内置可调...
10

网站栏目