TTL门电路组成的施密特触发器
时间:2023-03-10来源:佚名
|
图1 TTL 反相器组成的施密特触发器及其逻辑符号
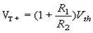
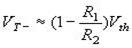
图2 CD4069 引脚图 TTL 反相器的阈值电压Vth≈VDD/2 ,R1<R2,且输入信号vI为三角波,电路的参数如下:施密特触发器在输入信号正向增加时的阈值电压,称为正向阈值电压,用V T 表示。
|
|
图1 TTL 反相器组成的施密特触发器及其逻辑符号
图2 CD4069 引脚图 TTL 反相器的阈值电压Vth≈VDD/2 ,R1<R2,且输入信号vI为三角波,电路的参数如下:施密特触发器在输入信号正向增加时的阈值电压,称为正向阈值电压,用V T 表示。
|









