全耦合变压器电路分析

时间:2023-03-10来源:佚名

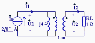
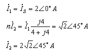
实例1

求初、次级电流和电压。
解:方法1:全耦合变压器模型
(1)判断耦合系数
全耦合变压器电路分析
(2) 作出理想变压器等效电路,计算折合阻抗。做出初级等效电路。
全耦合变压器电路分析
全耦合变压器电路分析
全耦合变压器电路分析

全耦合变压器电路分析








全耦合变压器电路分析

全耦合变压器电路分析

方法二:按耦合电感反映阻抗法
全耦合变压器电路分析
全耦合变压器电路分析

全耦合变压器电路分析

全耦合变压器电路分析
全耦合变压器电路分析
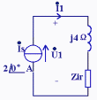
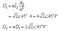
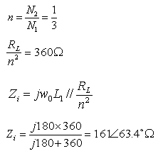
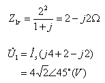
实例2

例:求图示自耦变压器电路的输入阻抗Zi =?
全耦合变压器电路分析
全耦合变压器电路分析
解:初次级合用一个绕组, 可视为全耦合。
全耦合变压器电路分析

    相关阅读

    常用PLC与触摸屏接线方法

    西门子TP27-6触摸屏 与微机的连接 plc 上0口地址2 1口 地址3 其中1口与TP27相连,触摸屏远程地址设为3。波特率对应。 西门子TP270-6触摸屏的连接 1. 程序下载(232与微机通讯) 2、3;4、...
    2023-03-21
    常用PLC与触摸屏接线方法

    水电布线5大要点,知道了能省不少麻烦

    为一名水电工,你知道在给房屋布线的时候,应注意的几点是什么吗?你知道业主给房屋装修,重点关心的步骤是什么吗? 给房屋装修终要的无疑是水电布线 ,而水电布线的重点就是...
    2023-06-27
    水电布线5大要点,知道了能省不少麻烦

    3.3V和5V双向电平转换电路解析

    “当我们使用3.3V单片机(STM32系列)和5V的器件通信时(IIC设备),电平转换就势在必行了” 01经典电平转换电路 1.1、这是一款经典的电平转换电路,该电路的核心是一个N沟道场效应管,外...
    2023-05-17
    3.3V和5V双向电平转换电路解析

    一文了解钳形电流表的结构原理

    本文介绍了钳形电流表的结构及工作原理,钳形电流表简称钳形表,由一只电流互感器、钳形扳手和一只整流式磁电系有反作用力仪表所组成,其规格、原理及使用方法,一起来了解下...
    2024-03-18
    一文了解钳形电流表的结构原理

    架空线路倒闸操作及核相,这一篇帮您科普涨知识

    上一篇介绍了倒闸操作的相关知识,这一篇咱们一起来认识下架空线路倒闸操作及核相,帮您涨知识。 倒闸操作 倒闸操作技术要求: (1)10kV架空线路处于运行中,原则上采取不停负...
    2023-06-25
    架空线路倒闸操作及核相,这一篇帮您科普涨知识

    热销商品

    加厚abs安全帽电工建筑工地程施工领导监理透气防砸头盔可印字V型

    这款加厚ABS安全帽专为电工、建筑工地施工人员、领导及监理设计,采用高强度ABS工程塑料,抗冲击、防砸性能优异,有效保障头部安全。帽体加厚设计,增强耐用性与防护等级...
    5.8

    水口钳高硬度模型剪钳电子钳工业级口水剪斜嘴钳偏口斜口专用钳子

    水口钳高硬度模型剪钳是一款工业级精密工具,专为电子、模型制作及精细作业设计。采用优质高碳钢材质,经热处理工艺打造,具备卓越的硬度和耐磨性,可轻松剪切金属引脚、...
    4.8

    170电子剪钳II 如意斜口钳 工业斜嘴钳水口钳 模型剪塑胶钳尖嘴钳

    170电子剪钳II如意斜口钳是一款专业级精密工具,集工业斜嘴钳、水口钳、模型剪、塑胶钳与尖嘴钳功能于一体,适用于电子维修、模型制作、手工艺及精密作业。其采用优...
    4.5

    安全帽国标工地加厚施工领导透气安全头盔建筑工程监理免费印字

    本款安全帽严格遵循国家GB 2811-2019标准,专为建筑工程、工地施工及监理人员设计。采用高强度ABS工程塑料,加厚壳体有效抗冲击,保障头部安全。帽体轻盈透气,内置可调...
    10

    包邮三角型简易螺丝刀三角十字螺丝刀螺丝批改锥起子五金工具5mm

    这款5mm三角型简易螺丝刀,专为拧紧或拆卸三角形螺丝设计,适用于电子维修、家电维护及精密仪器装配等场景。采用优质合金钢材质,刀头硬度高、耐磨损,确保长久使用不变...
    3.64

    网站栏目