对于采用场效应三极管的共源基本放大电路,可以与共射组态接法的基本放大电路相对应,只不过场效应三极管是电压控制电流源。共源组态的基本放大电路如图1所示。与共射放大电路比较,它们在电路结构上基本相同。图1电路叫做分压式偏置电路,其中 R 为源极电阻,其阻值约为几千欧; Cs为源极电阻上的交流旁路电容,其容量约为几十微法; Rg 1、 Rg 2为栅极分压电阻,其阻值约为几十千欧~几百千欧; Rd为漏极电阻,其阻值约为几十千欧; C1、 C2分别为输入电路和输出电路的耦合电容,其容量约为0.01~0.047微法。
 |
|
图1 共源组态接法基本放大电路 |
 |
|
图2 共源电路的直流通路 |
1.直流分析 将共源基本放大电路的直流通路画出,如图2所示。图中Rg1、Rg2是栅极偏置电阻,R是源极电阻,Rd是漏极负载电阻。与共射基本放大电路的Rb1、Rb2,Re和Rc分别一一对应。而且只要结型场效应管栅源PN结是反偏工作,无栅流,那么JFET和MOSFET的直流通路和交流通路是一样的。 根据图2.10.2可写出下列方程 于是可以解出VGSQ、IDQ和VDSQ。
2.交流分析 画出图1电路的微变等效电路,如图3所示。与双极型三极管相比,输入电阻无穷大,相当开路。电压控制电流源gmVgs 还并联了一个输出电阻rds,在双极型三极管的简化模型中,因输出电阻很大视为开路,在此可暂时保留。其它部分与双极型三极管放大电路情况一样。
 |
|
图3 微变等效电路 |
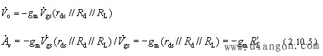
(1) 电压放大倍数 输出电压为  如果有信号源内阻RS时
式中Ri是放大电路的输入电阻。
 |
|
图4 计算Ro的电路模型 |
(2) 输入电阻  (3) 输出电阻 按输出电阻的定义,可将放大电路画成图4的形式(负载开路,信号源短路)。 将负载电阻RL开路,并想象在输出端加上一个电源 ,将输入电压信号源短路,但保留内阻。然后计算 ,于是  |