振荡电路产生振荡步骤和条件
时间:2023-03-11来源:佚名
|
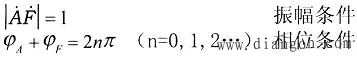
在模拟电子技术课程中,判别振荡电路能否产生振荡的步骤的是:先看直流通路,看放大器件是否工作在放大区;再看交流通路,看是台满足振荡条件。RC振荡也好,LC振荡电路也好,振荡条件为: AF=1 此条件可分解为振幅条件和相位条件,即:
|
|
在模拟电子技术课程中,判别振荡电路能否产生振荡的步骤的是:先看直流通路,看放大器件是否工作在放大区;再看交流通路,看是台满足振荡条件。RC振荡也好,LC振荡电路也好,振荡条件为: AF=1 此条件可分解为振幅条件和相位条件,即:
|






