理想变压器的阻抗变换性质
时间:2023-03-11来源:佚名
图1
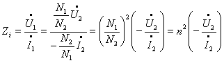
理想变压器在正弦稳态电路中,还表现出有变换阻抗的特性,如图1所示理想变压器,次级接负载阻抗ZL,由设出的电压、电流参考方向及同名端位置,可得理想变压器在正弦电路里相量形式为 ![]() 由ab端看,输入阻抗为 |
图1
理想变压器在正弦稳态电路中,还表现出有变换阻抗的特性,如图1所示理想变压器,次级接负载阻抗ZL,由设出的电压、电流参考方向及同名端位置,可得理想变压器在正弦电路里相量形式为 ![]() 由ab端看,输入阻抗为 |







