测量数据的随机误差估计
|
1.测量真值估计 在实际工程测量中,测量次数n不可能无穷大,而测量其值X0通常也不可能已知。根据对已消除系统误差的有限次等精度测量数据样本X1、X2、…,Xi、…,Xn,求其算术平均值
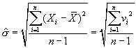
2.测量值的均方根误差估计 对已消除系统误差的一组n个(有限次)等精度测量数据X1、X2、…,Xi、…,Xn,采用其算术平均值
式中,Xi为第i次测量值;n为测量次数,这里为一有限值; 3.算术平均值的标准差 严格地讲,贝塞尔公式只有当n→∞时, 可以证明(详细证明参阅概率论或误差理论中的相关部分)算术平均值的标准差为
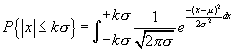
在实际工作中,测量次数n只能是一个有限值,为了不产生误解,建议用算术平均值 以上分析表明,算术平均值 式(3)还表明,在n较小时,增加测量次数n,可明显减小测量结果的标准偏差,提高测量的精密度。但随着n的增大,减小的程度愈来愈小;当n大到一定数值时 4.(正态分布时)测量结果的置信度 由上述可知,可用测量值Xi的算术平均值 以上就是数理统计学中数值区间估计问题。该数值区间称为置信区间,其界限称为置信限。该置信区间包含真值的概率称为置信概率,也可称为置信水平。这里置信限和置信概率综合体现测量结果的可靠程度,称为测量结果的置信度。显然,对同一测量结果而言,置信限愈大,置信概率就愈大;反之亦然。 对于正态分布,由于测量值在某一区间出现的概率与标准差σ的大小密切相关,故一般把测量值Xi与真值X0(或数学期望μ)偏差戈的置信区间取为σ的若干倍,即 x=±kσ (4) 式中,k为置信系数(或称置信因子),可被看作是描述在某一个置信概率情况下,标准偏差σ与误差限之间的一个系数。它的大小不但与概率有关,而且与概率分布有关。 对于正态分布,测量误差x落在某区间的概率表达式
为表示方便,这里令δ=△x-μ则有
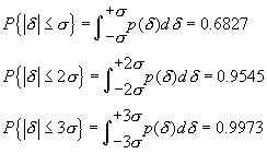
置信系数k值确定之后,则置信概率便可确定。由式(6),当k分别选取1、2、3时,即测量误差x分别落入正态分布置信区间±σ、±2σ、±3σ的概率值分别如下:
图2 为上述不同置信区间的概率分布示意图。
图2 不同置信区间的概率分布示意图 |
,即
(1)
(2)
为全部n次测量值的算术平均值,简称测量均值;Vi为第i次测量的残差;Vi为标准偏差σ的估计值,亦称实验标准偏差。
=σ、
(3)
(
(5)
(6)









