一阶有源低通滤波电路
时间:2023-03-11来源:佚名
|
滤波电路又称为滤波器,是一种选频电路,能够使特定频率范围的信号通过,而使其它频率的信号大大衰减即阻止其通过。按其工作频率范围的不同,滤波电路可分为低通滤波器、高通滤波器、带通滤波器、带阻滤波器和全通滤波器。仅由电阻、电容、电感这些无源元件组成的滤波电路称为无源滤波器。如果滤波电路中含有有源元件,如集成运放等,则称为有源滤波器。与无源滤波器相比,有源滤波器具有体积小、效率高、带负载能力强、频率特性好,而且在滤波的同时还可以将有用信号放大等一系列优点,因而得到广泛应用。 图1(a)所示电路为一阶有源低通滤波电路。
由RC电路可知
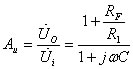
根据同相比例运算电路的运算关系,有
令
当f=0时, 当f=f0时, 当f=∞时, 其幅频特性如图1(b)所示。 为改善滤波效果,使f>fo时,信号衰减的更快,一般在图1(a)所示的一阶低通滤波器的基础上再增加一级RC电路就构成二阶有源低通滤波器,如图2所示。
|



=(1
)
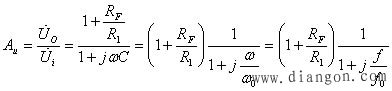
,故滤波器的电压传递函数为
,即
,上式可变为
,其中
为电路的通带放大倍数。
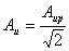
。
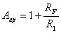
。








