RC串并联正弦波振荡电路
时间:2023-03-11来源:佚名
|
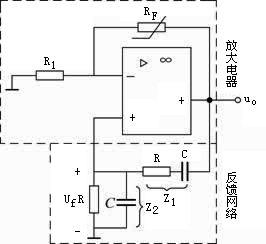
最具典型性的RC桥式正弦波振荡电路中,以RC串并联振荡电路最常见,如图1所示。
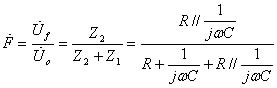
将电阻R和电容C串联、电阻R与电容C并联所组成的网络称为RC串并联选频网络,如图1所示。通常,因为RC串并联选频网络在正弦波振荡电路中,既为选频网络,又为正反馈网络。 由图1知
整理得
令
幅频特性为
相频特性为
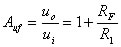
当f=f0,|F|==1/3, 只有当f=f0=1/(2πRC), 而图1中,同相比例运算电路的电压放大倍数为 起振时,使|AF|>1,即|A|>3或RF>2R1。应当指出,由于 |



=1/(RC),则f0=1/(2πRC),代入上式得


=0。
(
)与
同相,且|F|=1/3。
,可见,当RF=2R1,才有|A|=3,|AF|=1。
数值减小,







