差分放大电路怎么理解
时间:2023-03-11来源:佚名
|
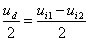
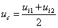
在直接耦合放大电路中抑制零点漂移最有效的电路结构是采用差动放大电路。根据信号输入输出的不同,差分放大电中有四种形式:双端输入,双端输出;双端输入,单端输出;单端输入,双端输出;单端输入,单端输出; 差分放大电路对共模信号有很强的抑制作用,在参数完全对称的情况下,共模输出为零。 差模电压放大倍数等于单管共射极放大电路的电压放大倍数。 任意信号指:两个输入信号ui1、ui2既非差模信号又非共模信号,可以将这对任意信号替换成一对共模信号和一对差模信号。 差模分量:
共模分量:
|








