功率放大器的工作状态
|
功率放大器一般是根据功放管工作点选择的不同进行分类的,有甲类、乙类及甲乙类功率放大器。 1、甲类工作状态 当静态工作点Q设在负载线性段的中点,整个信号周期内都有电流iC流过时,如图1(a)所示,称为甲类功放。
当交流信号ui=0时,直流电源会提供ICQ和UCEQ,这时电源提供的功率全部消耗在管子和电阻上,即PE=ICQUCEQ。当有交流输入信号ui时,产生交流电流iC,交流电压uce,两者的乘积即为输出功率。由图1 (a)可见,若功放管的饱和压降可忽略,在理想的情况下,信号电流和电压的最大值约等于ICQ和UCEQ,根据有效值和最大值的关系,可得在理想情况下,输出信号功率的最大值为
根据效率的定义 2、乙类工作状态 若将静态工作点Q设在横轴上,则iC仅在半个信号周期内通过,其输出波形被削掉一半,如图1(b)所示,称为乙类功放。 乙类放大器的特点是:功放管只在信号的半个周期内处于导通的状态。当ui=0时,ICQ=0,直流电源提供PE=ICQUCEQ=0。说明电源不向外提供功率。随着信号ui的输入,电源提供的功率、功率放大电路的输入功率和效率也随着发生变化。 由图1(b)可见,若功放管的饱和压降可忽略,乙类放大器输出信号的最大值为UCC,输出信号功率的最大值为
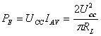
因乙类放大器只在信号的半个周期内有功率输出,所以该放大器有信号输出时,电源消耗的功率PE为电源电压和半波电流的平均值
所以,乙类放大器的效率为
当Uom = UCC时效率最大,η=π/4 =78.5%。 3、甲乙类工作状态 若将静态工作点设在线性区的下部靠近截止区,则其iC的流通时间为多半个信号周期,输出波形被削掉一部分。如图1(c)所示,称为甲乙类功放。 甲乙类放大器的特点是:功放管在信号半个周期以上的时间内处于导通状态。由于电路静态工作点ICQ较小,静态功耗也较小,在理想情况下,甲乙类功率放大电路的转换效率接近乙类功率放大电路。 由上面的分析可见,乙类和甲类放大器的功率转换效率较高,但都存在着波形失真的问题。既要提高效率,又要解决波形失真的问题,是功率放大电路结构特点。 |


,可得甲类放大电路的最高效率为50%,说明甲类功率放大电路的功率转换率较低。因甲类放大电路能量转换的效率较低,所以甲类放大器主要用于电压放大,在功率放大电路中较少应用。
的乘积,即









