多级放大电路的动态分析
时间:2023-03-11来源:佚名
|
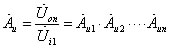
一个N级放大电路的交流等效电路可用图1所示的方框图表示。由图1可知,放大电路中前级的输出电压就是后级的输入电压。
所以总的电压放大倍数为
即总的电压放大倍数为各级放大倍数的连乘积。
应当指出的是,在多级放大电路中,求解前一级的电压放大倍数时,应当把后一级的输入电阻作为前一级的实际负载来考虑。同样,对于后级放大电路而言,应把前一级放大电路的输出电阻作为后一级的信号源内阻来处理。 多级放大电路的输入电阻就是第一级的输入电阻,其输出电阻就是最后一级的输出电阻。 |
,所以电压放大倍数为










