最大功率传输定理_验证最大功率传输定理_最大功率传输定理实验报告
时间:2023-03-11来源:佚名
|
一个含源线性一端口电路,当所接负载不同时,一端口电路传输给负载的功率就不同,讨论负载为何值时能从电路获取最大功率,及最大功率的值是多少的问题是有工程意义的。 下面讨论如图1(a)所示电路的最大功率传输问题,可将其采用戴维宁定理对网络A进行等效,得到如图1(b)所示的电路,在该电路中负载RL上的功率可表示为,
图1 最大功率的传输
在上式中对RL求导,并令其为零可得 当 时, 。即当负载RL等于戴维宁等效电路中的等效电阻时,可实现功率的最大传输,此时最大功率 。
注意: ① 最大功率传输定理用于一端口电路给定,负载电阻可调的情况; ② 计算最大功率问题结合应用戴维宁定理或诺顿定理最方便。 例1 RL为何值时能获得最大功率,并求最大功率。
图1 题 分析:断开RL支路,将剩余一端口网络化为戴维宁等效电路,求得开路电压Uoc和等效电阻Req,当负载 解: ①求戴维宁等效电路的开路电压Uoc,电路如下图所示
故 ②求等效电阻Req,含有受控源,采用加压求流法求解,电路如下图所示
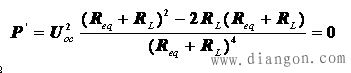
③根据最大功率传输定理,当 |

时,
。即当负载RL等于戴维宁等效电路中的等效电阻时,可实现功率的最大传输,此时最大功率
。
时,可获得最大功率
。
,
(KVL),所以

,
,所以
时,
,得到
时,可获得最大功率,
。







