均匀传输线方程的正弦稳态解
|
均匀传输线工作在正弦稳态时,沿线的电压、电流是同一频率的正弦时间函数,因此,可以用相量法分析沿线的电压和电流。 1、均匀传输线方程的正弦稳态解 由均匀传输线方程得到均匀传输线工作在正弦稳态时的方程相量形式为
令单位长度复阻抗 注意: 此处 上式两边求导,得到
令传输常数: 上式方程的通解: 2、积分常数之间的关系
令
注意: A1、A2、B1、B2 由边界条件确定。 2、给定边界条件下传输线方程的解 选取传输线始端为坐标原点,x坐标自传输线的始端指向终端。 ①已知始端(x=0)的电压
得到, 解得: x处的电压电流
可写为
根据双曲函数: 上式可表示为
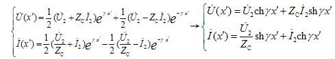
② 已知终端(x=l)的电压
x处的电压电流为:
3、均匀传输线上的行波 根据前述推导,得到均匀传输线上的电压和电流相量表达式如下
其中系数满足关系
则均匀传输线上的阻抗: 其电压和电流的瞬时值表达式:
考察u 和i
特点: ① 传输线上电压和电流既是时间t的函数,又是空间位置x的函数,任一点的电压和电流随时间作正弦变化; ② 某一瞬间 t,电压和电流沿线分布为衰减的正弦函数; 定义α:经过单位距离幅度衰减的量值,称衰减常数。
③随距离x的增加,电压和电流的相位不断滞后; 定义β:经过单位距离相位滞后的量值,称相位常数。 ④ 电压和电流沿线呈波动状态,称电压波和电流波;
u 、i 为随时间增加向x增加方向(即从线的始端向终端的方向)运动的衰减波。将这种波称为电压或电流入射波、直波或正向行波 。 考察最大点的相位:
波传播方向上,相位差为2π的相邻两点间的距离称为波长λ。 故 ⑤ 沿线传播的功率: 同理考察u-和i-:
u- 和i- 为随时间增加向x减小方向(即从线的终端向始端的方向)运动的衰减波。将这种波称为电压或电流反射波,或称反向行波,如下图所示。
4、反射系数 定义反射系数为沿线任意点处反射波电压相量与入射波电压相量之比。
终端反射系数:
注意: ①反射系数是一个复数,反映了反射波与入射波在幅值和相位上的差异; ②反射系数的大小与传输线特性阻抗和终端负载阻抗有关;
在通信线路和设备连接时,均要求匹配,避免反射。 |
→
→
,单位长度复导纳
。


,
→
,则
称为特性阻抗,得到
和电流
的解,如下图所示








和电流
的解,如下图所示



得到







,
,
,得到
,从而得到同相位移动的速度(相位速度):
,得到
,即





,
,
,全反射
,匹配






