多级放大电路的特点
时间:2023-03-11来源:佚名
|
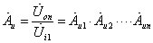
组成多级放大电路的每一个基本放大电路称为一级,级与级之间的连接方式称为级间耦合。多级放大电路有4种常见的耦合方式,即阻容耦合、变压器耦合、直接耦合和光耦合。 阻容耦合的优点是:前级和后级直流通路彼此隔开,每一级的静态工件点相互独立,互不影响。便于分析和设计电路。因此,阻容耦合在多级交流放大电路中得到了广泛应用。 阻容耦合的缺点是:信号在通过耦合电容加到下一级时会大幅衰减,对直流信号(或变化缓慢的信号)很难传输。在集成电路里制造大电容很困难,不利于集成化。所以,阻容耦合只适用于分立元件组成的电路。 变压器耦合的优点是:由于变压器不能传输直流信号,且有隔直作用,因此各级静态工作点相互独立,互不影响。变压器在传输信号的同时还能够进行阻抗、电压、电流变换。变压器耦合的缺点是:体积大、笨重等,不能实现集成化应用。 但是由于变压器比较笨重,无法实际集成,而且也不能传输缓慢变化的信号,因此,这种耦合方式目前已很小采用。 直接耦合所用元件少,体积小,低频特性好,便于集成化。直接耦合的缺点是:由于失去隔离作用,使前级和后级的直流通路相通,静态电位相互牵制,使得各级静态工作点相互影响。另外还存在着零点漂移现象。 电压放大倍数为
在多级放大电路中,求解前一级的电压放大倍数时,应当把后一级的输入电阻作为前一级的实际负载来考虑。同样,对于后级放大电路而言,应把前一级放大电路的输出电阻作为后一级的信号源内阻来处理。 多级放大电路的输入电阻就是第一级的输入电阻,其输出电阻就是最后一级的输出电阻。 |










