乙类互补功率放大电路
时间:2023-03-11来源:佚名
|
(1)乙类互补功率放大电路的工作原理
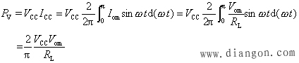
① 最大不失真输出功率Pom 设互补功率放大电路为乙类工作状态,输入为正弦波。忽略三极管的饱和压降,负载上的最大不失真功率为 (1)② 电源功率PV 直流电源提供的功率为半个正弦波的平均功率,信号越大,电流越大,电源功率也越大。 (2)显然PV 近似与电源电压的平方成比例。 ③ 三极管的管耗PT 电源输入的直流功率,有一部分通过三极管转换为输出功率,剩余的部分则消耗在三极管上,形成三极管的管耗。显然 (3)将PT画成曲线,如图4所示。显然,管耗与输出幅度有关,图4中画阴影线的部分即代表管耗,PT与Vom成非线性关系,有一个最大值。 可用PT对Vom求导的办法找出这个最大值。PTM发生在Vom=0.64VCC处,将Vom=0.64VCC代入PT表达式,可得PTM为 (4)
④ 效率η (6), 当Vom = VCC 时效率最大,η=π/4 =78.5%。(3) 大功率三极管输出特性曲线的分区 在大功率三极管的输出特性中,除了与普通三极管一样分有放大区、饱和区、截止区外,从使用和安全角度还分有过电流区、过电压区和过损耗区。它们的位置如图5所示。 过电流区是由最大允许集电极电流确定的,超过此值,β将明显下降。 过电压区由c、e间的击穿电压V(BR)CEO所决定。
|


(1)
(2)
(3)
(4)
(6), 当Vom = VCC 时效率最大,η=π/4 =78.5%。










