时序逻辑电路的描述与分析方法
时间:2023-03-11来源:佚名
|
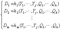
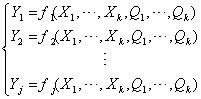
时序逻辑电路任一时刻的输出状态不仅取决于当时的输入信号,还与电路原来的状态有关,即时序逻辑电路具有“记忆”的功能。因而时序逻辑电路中必须含有记忆能力的存储器件,最常用的是触发器。 时序逻辑电路可用下列3个方程组来描述,即
分析时序逻辑电路也就是找出该时序逻辑电路的逻辑功能,即找出时序逻辑电路的状态和输出变量在输入变量和时钟信号作用下的变化规律。因此,只要写出时序逻辑电路的这3组方程,它的逻辑功能也就描述清楚了。但是用3组方程描述电路的逻辑功能非常不直观,不能直接看出电路状态和输出变量的与输入变量和时钟信号之间的对应关系,为了直观地描述时序电路的逻辑功能,还有其他的表示方法:状态转换表、状态转换图和时序图。下面结合时序电路的分析,具体介绍这3种时序电路逻辑功能的描述方法。 分析步骤: 第一步:分析电路结构,写出各触发器的驱动方程。 第二步:将驱动方程代入相应触发器的特性方程,求得各触发器的次态方程,也就是时序逻辑电路的状态方程。 第三步:根据电路图写出输出方程。 第四步:根据状态方程和输出方程,列出该时序带电路的状态表,画出状态图或时序图。 |










