耦合电感的去耦等效
时间:2023-03-11来源:佚名
|
1.耦合电感的串联等效
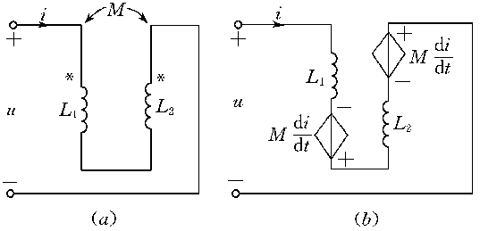
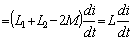
耦合电感的串联有两种方式——顺接和反接。顺接就是异名端相接,如图1(a)所示。 图1
把互感电压看作受控电压源后得电路如图1(b)所示,由该图可得
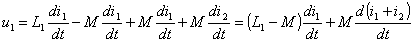
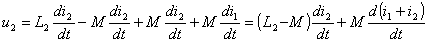
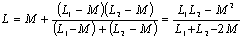
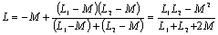
![]() ![]() 其中 L=L1 L2 2M 由此可知,顺接串联的耦合电感可以用一个等效电感L来代替,等效电感L的值由式上式来定。 耦合电感的另一种串联方式是反接串联。反接串联是同名端相接,如图2(a)所示,把互感电压看作受控电压源后得电路如图2(b)所示,由图2(b)图可得 ![]() 其中L=L1 L2-2M由此可知,反接串联的耦合电感可以用一个等效电感L代替,等效电感L的值由上式来定。 图2
2.耦合电感的T型等效 图3 图4
|



其中

















