OCL功率放大电路最大输出功率和转换效率的分析计算
|
下面以OCL电路为例,介绍功率放大电路最大输出功率和转换效率的分析计算,以及功放中晶体管的选择。 1、电路组成 对于图1 (a)所示的基本电路,若考虑晶体发射结的开启电压Uon,则当输入电压的数值uiON,T1和T2管均处于截止状态,输出电压,使波形失真;只有当|ui|>UON时,TI和T2管才导通,它们的基极电流失真,如图1所示,因而输出电压波形产生交越失真。为了消除交越失真,应当设置合适的静态工作点,使两只管均工作在临界导通或微导通状态。消除交越失真的OCL电路如图2所示。
2、工作原理 在图2所示电路中,功放管T1、T2的基极间接有两个二极管D1、D2。静态时,从电源的 UCC经过R1、R2、D1、D2、R3到-UCC有一个电流流过,静态工作电流在D1、D2上产生正向压降,给T1、T2提供大于死区电压的基极偏置电压,其值约为两管开启电压之和。 静态时,就产生有静态工作电流IB1、IB2,这是虽然发射极工作电流IE1=-IE2,其值相等、方向相反,而负载RL是没有静态电流流过,UE=0,则输出电压uo=0。 有正弦输入信号电压ui作用时,由于二极管的动态电阻rd和电阻R2的阻值均较小,可以认为Ub1=Ub2=ui。当输入信号电压ui为正半周时,晶体管T1导通,T2截止,电源 UCC通过T1和RL到地,产生电流ic1=io,电流io通过负载电阻RL,产生正半周输出电压uo;当输入信号电压ui为负半周时,管T2导通,T1截止,电源-UCC通过T2和RL到地,产生电流ic2=io,电流io通过负载电阻RL,产生负半周输出电压uo; 可见,在一个变化周期内,负载RL上输出一个完整的不失真的正弦电压uo或电流io。应该注意,静态工作点Q不宜设置得过高,应尽可能接近乙类状态;否则静态电流较大,会使功耗增大,功率降低,导致功放管过热而损坏。 3、OCL电路的输出功率及效率 功率放大电路中最重要的技术指标是电路的最大输出功率POM和效率μ,为了求POM,需要首先求出负载上能够得到的最大输出电压幅值UOM。当输入电压足够大,又不产生饱和失真时,电路的图解分析如图3所示。
图3是乙类互补功率放大电路两管工作时信号电流iC1、iC2的波形以及合成后的uCE波形的图解分析。为了分析方便起见,将晶体管T2的特性曲线倒置在T1的右下方。两管的特性曲线在Q点(UCE=UCC)处重合,这时负载线通过UCC为一条斜线。从图3可知,在输入信号足够大的情况下,电流的最大变化范围为2icmax,电压uCE的变化范围为2(UCC-UCES),当输入电压ui变化时,其最大输出电压最大值UOM=UCC-UCES。 所以,最大输出功率
在忽略基极回路电流的情况下,电源UCC提供的电流
电源在负载获得最大功率时所消耗的平均功率等于其平均电流与电源电压之积,其表达式为
效率
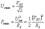
在理想情况下,忽略饱和压降UCES,即UCES=0
应当指出,大功率管的饱和管压降常为2-3V,因而一般情况下都不能忽略饱和管压降UCES。 |



















