测量数据不确定度的评定
|
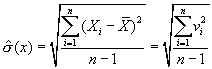
在分析和确定测量结果不确定度时,应使测量数据序列中不包括异常数据。即应先对测量数据进行异常判别,一旦发现有异常数据就应剔除。因此,在不确定度的评定前均要首先剔除测量数据序列中的坏值。 1.A类标准不确定度的评定 A类标准不确定度的评定通常可以采用下述统计与计算方法。在同一条件下对被测参量X进行n次等精度测量,测量值为Xi(i=1,2,…,n)。该样本数据的算术平均值为
X的实验标准偏差(标准偏差的估计值)可用贝塞尔公式计算
式中, 用
2.标准不确定度的B类评定方法 当测量次数较少,不能用统计方法计算测量结果不确定度时,就需用B类方法评定。对某一被测参量只测一次,甚至不测量(各种标准器)就可获得测量结果,则该被测参量所对应的不确定度属于B类标准不确定度,记为uB。 B类标准不确定度评定方法的主要信息来源是以前测量的数据、生产厂的产品技术说明书、仪器的鉴定证书或校准证书等。它通常不是利用直接测量获得数据,而是依据查证已有信息获得。例如: ①最近之前进行类似测试的大量测量数据与统计规律; ②本检测仪器近期性能指标的测量和校准报告; ③对新购检测设备可参考厂商的技术说明书中的指标; ④查询与被测数值相近的标准器件对比测量时获得的数据和误差。 应说明的是,B类标准不确定度uB与A类标准不确定度uA同样可靠,特别是当测量自由度较小时,uA反而不如uB可靠。 B类标准不确定度是根据不同的信息来源,按照一定的换算关系进行评定的。例如,根据检测仪器近期性能指标的测量和校准报告等,并按某置信概率P评估该检测仪器的扩展不确定度Up,求得Up的覆盖因子k,则B类标准不确定度uB等于扩展不确定度Up除以覆盖因子k,即 uB(X)=Up(X)/k (2) 【例1】 公称值为100g的标准砝码M,其检定证书上给出的实际值是100.000 2.34 9,并说明这一值的置信概率为0.99的扩展不确定度是0.000120g,假定测量数据符合正态分布。求这一标准砝码的B类标准不确定度uB和相对不确定度。 【解】 由于假定测量数据符合正态分布,因此,根据置信概率为0.99查《数学手册》概率论正态分布表可得k=2.576;代入(2)式得M的B类标准不确定度为
其相对标准不确定度为
在某些情况下,根据已有资料及现有信息只能估计被测参量Xi的上限Xmax。和下限Xmin,而落在[Xmin,Xmax]范围内的概率是1,对Xi在该范围内的分布并不清楚,此时只能认为是均匀分布。对于均匀分布,其覆盖(即置信)因子k=
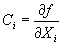
3.合成标准不确定度的评定方法 当测量结果有多个分量,则合成标准不确定度可用各分量的标准不确定度的合成得到。计算合成标准不确定度的公式称为测量不确定度传播率。合成标准不确定度仍然表示测量结果的分散性。当影响测量结果的几个不确定度分量彼此独立,即被测量X是由n个输入分量X1,X2,…,Xn的函数关系确定,且各分量不相关,根据国际标准化组织(ISO)1992年公布的《测量不确定度表达指南》的规定,在不必区分各分量不确定度是由A类评定方法还是B类评定方法获得的情况下,测量结果的合成标准不确定度uC可简化为各分量标准不确定度ui平方和的正算术平方根,由下式表示:
式中,f为被测量与各直接测量分量的函数关系表达式;n为各直接测量分量的个数;u(Xi)为各直接测量分量的A类或B类标准不确定度分量;
这里应指出:式(4)及式(5)仅适用于影响测量结果的各分量彼此独立的场合。对各分量不独立的测量情况,在求测量结果合成标准不确定度或不确定度合成时,还需考虑协方差项的影响。因篇幅有限,关于考虑协方差的合成标准不确定度计算与合成不再深入讨论,有兴趣的读者可参阅相关资料。 4.扩展不确定度的评定方法 根据扩展不确定度的定义,测量结果X的扩展不确定度U等于覆盖因子南与合成不确定度uC的乘积,即 U=kuC (6) 测量结果可表示为X=x±U,x是X被测量的最佳估计值,被测量X的可能值以较高的概率落在x-U≤X≤x U区间内。覆盖因子k要根据测量结果所确定区间需要的置信概率进行选取。工程上,常用下述方法选取覆盖因子k。 ①在无法得到合成标准不确定度的自由度,测量次数多且接近正态分布时,一般k取典型值为2或3。在工程应用时,通常取k=2(相当于置信概率为0.95)。 ②根据测量值的分布规律和所要求的置信概率,选取k值。例如,假设为均匀分布时,置信概率P=0.99,查表1-2和k=1.71。 表1 均匀分布时置信概率P与覆盖因子k的关系
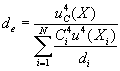
③如果uC(X)的自由度较小,并要求区间具有规定的置信水平时,求覆盖因子k的方法如下: 设被测量X=f(X1,X2,…Xi,…,Xn),先求出其合成标准不确定度uC(X),再根据下式计算uC(X)的有效自由度
式中,N为各直接测量分量的个数;di为u(Xi)的自由度数; 覆盖因子k的选择取决于测量结果X的置信度,即希望X以多大的置信概率(置信水平)落入x-U至x U的区间,这要求有丰富的实践经验和扎实的专业知识。对测量结果X的分布不甚清楚的情况下,覆盖因子k的选择将更加困难。这时最简单的做法是在测量结果的置信水平要求很高时规定k=3(相当于正态分布时的置信概率0.997,对近似为正态的t分布的置信概率也可认为0.99或99%)。在一般工程应用中习惯取k=2(相应的置信概率近似为0.95或95%)。 |


(x)为实验标准偏差。
作为被测量X测量结果的估计值,则A类标准不确定度uA为
(1)

,数学期望值为该分布范围的中值点,则其B类标准不确定度为
(3)
(4)
为被测量X(与各直接测量分量的函数关系表达式)对某分量Xi的偏导数,通常称为灵敏系数,也称为传播系数。为表示与书写方便用Ci代表
(5)
(6)
为被测量X对某分量Xi的偏导数;u(Xi)为各直接测量分量的标准不确定度。







