放大电路性能指标的分析计算

时间:2023-03-11来源:佚名
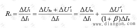
1.电压放大倍数
放大电路性能指标的分析计算
由微变等效电路可得
放大电路性能指标的分析计算
放大电路性能指标的分析计算 放大电路性能指标的分析计算
所以
式中 放大电路性能指标的分析计算
2.输入电阻和输出电阻

放大电路性能指标的分析计算

用直接观察的方法可得 放大电路性能指标的分析计算
3.电流放大倍数
放大电路性能指标的分析计算
共基极放大电路具有如下特点:
1. 电压放大倍数较大,输出信号电压△UO与输入信号电压UI同相。
2. 电流放大倍数小于1。
3. 输出电阻较低,输出电阻同共发射极放大电路一样为R
c

    相关阅读

    最新水电安装精确定位的标准做法,走起!

    一、楼面、梁、墙柱内电线管预埋 (正确) A1.墙板内水电安装图纸深化 a.进行墙板水电图纸深化; b.深化精确到每个底盒内线管位置、管径大小、数量; (正确) A2.水电线管精确定位...
    2023-06-11

    变频器的容量计算和选择

    1 引言 采用变频器 驱动异步电动机 调速。在异步电动机 确定后,通常应根据异步电动机的额定电流来选择变频器,或者根据异步电动机实际运行中的电流值(最大值)来选择变频器。当...
    2023-03-21
    变频器的容量计算和选择

    有电压表监视、过载报警、水位直接启停的水泵电动机控制电路

    有电压表监视、过载报警、水位直接启停的水泵电动机控制电路 有电压表监视、过载报警、水位直接启停的水泵电动机控制电路如图所示。把图(a)采用电气设备实物连接方法构成的...
    2023-06-13
    有电压表监视、过载报警、水位直接启停的水泵电动机控制电路

    认识LED灯

    19世纪后期,托马斯爱迪生发明了第一个商业上可行是灯泡,这种灯泡通过将大量电流流过一根细灯丝(基本上是一根电线)来工作。大电流流过灯丝使得灯丝非常热,以至于它开始发...
    2024-03-18
    认识LED灯

    KCL和KVL独立方程

    所谓电路分析的一般方法,是指求解任意电路,特别是复杂电路中各支路电流和电压的普遍方法。一个n个节点6条支路的电路,就有6个支路电压和6个支路电流需要求解,即共有26个待求...
    2023-03-21

    热销商品

    加厚abs安全帽电工建筑工地程施工领导监理透气防砸头盔可印字V型

    这款加厚ABS安全帽专为电工、建筑工地施工人员、领导及监理设计,采用高强度ABS工程塑料,抗冲击、防砸性能优异,有效保障头部安全。帽体加厚设计,增强耐用性与防护等级...
    5.8

    水口钳高硬度模型剪钳电子钳工业级口水剪斜嘴钳偏口斜口专用钳子

    水口钳高硬度模型剪钳是一款工业级精密工具,专为电子、模型制作及精细作业设计。采用优质高碳钢材质,经热处理工艺打造,具备卓越的硬度和耐磨性,可轻松剪切金属引脚、...
    4.8

    170电子剪钳II 如意斜口钳 工业斜嘴钳水口钳 模型剪塑胶钳尖嘴钳

    170电子剪钳II如意斜口钳是一款专业级精密工具,集工业斜嘴钳、水口钳、模型剪、塑胶钳与尖嘴钳功能于一体,适用于电子维修、模型制作、手工艺及精密作业。其采用优...
    4.5

    安全帽国标工地加厚施工领导透气安全头盔建筑工程监理免费印字

    本款安全帽严格遵循国家GB 2811-2019标准,专为建筑工程、工地施工及监理人员设计。采用高强度ABS工程塑料,加厚壳体有效抗冲击,保障头部安全。帽体轻盈透气,内置可调...
    10

    包邮三角型简易螺丝刀三角十字螺丝刀螺丝批改锥起子五金工具5mm

    这款5mm三角型简易螺丝刀,专为拧紧或拆卸三角形螺丝设计,适用于电子维修、家电维护及精密仪器装配等场景。采用优质合金钢材质,刀头硬度高、耐磨损,确保长久使用不变...
    3.64

    网站栏目