基本元件VAR的相量形式
时间:2023-03-11来源:佚名
|
在交流电路中,电压和电流是变动的,是时间的函数。电路元件不仅有耗能元件的电阻,而且有储能元件电感和电容。下面分别讨论它们的伏安关系式(即VAR)的相量形式。 1 、 电阻元件 根据欧姆定律得到 此式表明电阻两端的正弦电压和流过的正弦电流是同相的,相量、波形图如图所示。
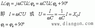
2、 电容元件 3、电感元件 |
|
在交流电路中,电压和电流是变动的,是时间的函数。电路元件不仅有耗能元件的电阻,而且有储能元件电感和电容。下面分别讨论它们的伏安关系式(即VAR)的相量形式。 1 、 电阻元件 根据欧姆定律得到 此式表明电阻两端的正弦电压和流过的正弦电流是同相的,相量、波形图如图所示。
2、 电容元件 3、电感元件 |








