反激式开关电源输出整流滤波电路工作状态分析
时间:2023-03-11来源:佚名
|
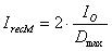
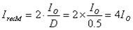
反激式开关电源输出整流滤波电路原理上是最简单的。但是,由于反激式开关电源的能量传递必须通过变压器转换实现,并压器的初次级两侧的开关(MOSFET或整流二极管)均工作在电流断续状态。在相同输出功率条件下,反激式开关电源的开关流过的电流峰值和有效值大于正激式、桥式、推挽式开关电源。为了获得更低的输出电压尖峰,通常的反激式开关电源工作在电感电流(变压器储能)断续状态,这就进一步增加了开关元件的电流额定。 开关电源的电路拓扑对输出整流滤波电容器影响也是非常大的,由于反激式开关电源的输出电流断续性,其交流分量需要由输出整流滤波电容器吸收,当电感电流断续时输出整流滤波电容器的需要吸收的纹波电流相对最大。 对应的输出整流二极管的电流波形如图1,输出滤波电容器的电流波形如图2。 图1 反激式开关电源的输出整流二极管的电流波形 图2 输出滤波电容器的电流波形 由图1可以得到流过输出整流二极管电流峰值与平均值、有效值的关系为如下。 流过输出整流器的峰值电流与平均值电流的关系: (1)流过输出整流器的有效值电流与峰值值电流的关系: (2)流过整流器的有效值电流与平均值电流的关系: (3)式中:IrecM、Irecrms、IO、Dmax分别为流过输出整流器的峰值电流、有效值电流、平均值电流和输出整流二极管的最大导通占空比。 流过输出滤波电容器的电流有效值略小于流过输出整流器的有效值电流。 式(1)、(2)、(3)表明,随着输出整流器导通占空比的减小,相同输出电流平均值对应道德峰值电流、有效值电流随占空比的减小而增加。 在大多数情况下,反激式开关电源工作在变压器电流临界或断续状态。在变压器电流临界状态下,初级侧开关管导通占空比与输出整流器导通占空比相加为1。 在大多数情况下,反激式开关电源的输出整流器的最大导通占空比约为0.5。这样,流过输出整流器的电流峰值与输出平均值电流之间的关系为: (4)有效值电流于输出电流平均值的关系为: (5) |
(1)
(2)
(3)
(4)
(5)





