交流发电机的输出特性、空载特性和外特性
|
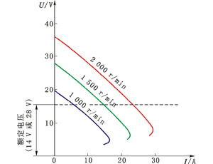
交流发电机的特性有输出特性、空载特性和外特性。 一、输出特性 又叫负载特性或输出电流特性,它是指发电机向负载供电时,保持发电机输出电压恒定(对12V的发电机规定为14V,对24V的发电机规定为28V)的情况下,发电机的输出电流与转速之间的关系,即I=f(n)函数关系。交流发电机的输出特性曲线,如图所示。
从上图可以看出: 1)发电机的转速甚低时,其端电压低于额定电压,此时发电机不能向外供电;当转速达到空载转速n1时,电压达到额定值;当转速高于空载转速n1时,发电机才有能力在额定电压下向外供电。(所以空载转速值n1常用作选择发动机与发电机之间传动比的主要依据。) 2)当转速超过n1时,发电机输出电流I将随着转速n的升高而增大;当转速等于n2时,发电机输出额定功率(即额定电流与额定电压之积)(故将转速n2称为满载转速)。 (自载转速和满载转速是交流发电机的主要性能指标。在使用中,定期测量这两个数据,与规定值相比较,就可判断发电机性能是否良好。) 3)当发电机转速达到一定值时,发电机的输出电流就不再随转速的升高而增大。这时的电流值称为发电机的最大输出电流或限流值。这个性能表明,交流发电机具有自动限制电流的自我保护能力。 二、空载特性 发电机空载时,发电机端电压与转速的关系,称为空载特性。即I=0时,U=f(n)的函数关系,如图所示。
从曲线可以看出,随着转速的升高,端电压上升较快,由他励转入自励时,即能向蓄电池进行补充充电,进一步证实了低速充电性能好的优点。空载特性是判断硅整流发电机性能是否良好的重要依据。 三、外特性 外特性是指转速一定时,发电机的端电压与输出电流的关系。即n=常数时,U=f(I)的曲线,如图所示。
从外特性曲线可看出,随着负载即输出电流的增加,发电机的端电压会很快下降,且转速越高,下降的斜率越大。当发电机在高转速下运转时,如果突然失去负载,则端电压会急剧升高,这时发电机中的二极管以及调节器中的电子元器件将有被击穿的危险。 另外,当输出电流增大到一定值时,如负载再增加,其输出电流不仅不会增加,反而会同端电压一起下降,即在外特性曲线上存在一个转折点。因此,当发电机短路时,其短路电流是很小的,这也说明交流发电机具有自身限制电流的功能。一般交流发电机工作在转折点以前。 |











