一阶有源高通滤波电路
时间:2023-03-11来源:佚名
|
将图1(a)所示的一阶有源低通滤波器中的电阻R和电容C对调,即可成为一阶有源高通滤波器,如图1(a)所示。
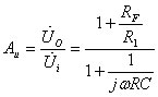
由RC电路可知
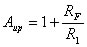
根据同相比例运算电路的运算关系,有
令
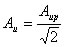
当f=0时, 当f=∞时, 当f=f0时, 除了上面介绍的低通滤波电路和高通滤波电路之外,若将一个低通滤波电路与一个高通滤波电路串联,即可组成带通滤波电路,条件是低通的 |
|
将图1(a)所示的一阶有源低通滤波器中的电阻R和电容C对调,即可成为一阶有源高通滤波器,如图1(a)所示。
由RC电路可知
根据同相比例运算电路的运算关系,有
令
当f=0时, 当f=∞时, 当f=f0时, 除了上面介绍的低通滤波电路和高通滤波电路之外,若将一个低通滤波电路与一个高通滤波电路串联,即可组成带通滤波电路,条件是低通的 |








