组合绝缘的电气性能
时间:2023-03-11来源:佚名
|
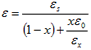
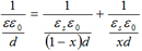
一、组合绝缘的介电常数与介质损耗 几种绝缘介质组合起来的绝缘大量使用 变压器:油间隙,绝缘层,屏障组合 电缆,电容器——低或高分子薄膜迭层和各种浸渍剂组合 电机:云母,胶粘剂,补强材料和浸渍剂组合 充油套管:油隙,胶纸层,油纸层组合 1.介电常数 油浸纸给合绝缘近似按串联介质处理,图4-24 未浸油前气隙占体积比x,浸油层油占体积比x,固体介质占体积比1-x,电极间电容 ,戏固体电容,cx气隙或浸渍介质电容 ,组合绝缘的相对介电常数 ![]() 2.介质损耗 总介质损失角正切 ![]() 二、给合绝缘的击穿特性 外加电压在给合绝缘各介质上的电压分布,决定整体击穿电压,串联绝缘结构,理想电压分布应是各层介质所承受的场强与该层介质的耐电强度成正比——各层材料成分利用。 例:油纸组合绝缘击穿特性: 干纸耐电强度:10kv/mm-13kv/mm 纯油耐电强度:10kv/mm-20kv/mm 油纸绝缘工频短时间耐电强度50kv/mm-120kv/mm 油填充了纸中薄弱点空气隙,纸在油中起屏障作用,提高击穿过程——①短时电击穿 ②?长时?击穿 ③长时电化学击穿 缺点:易发生局部放电,威胁大 油纸绝缘的电气性能要求: ① 工作电压下不发生有害的局部放电 ② 工频试验电压下不发生强烈的局部放电,不击穿,不闪络 ③ 雷电冲击试验电压下不击穿,不闪络。 组合绝缘的电气强度 高压电气设备——应具有优异的电气性能,良好的散热性能,机械性能单一品种电介质不能同时满足多种要求——多种电介质组合而成,组合绝缘——不同介电常数的电介质组合在一起——综合电气强度与相互配合有关,常用组形式——层状绝缘 各层绝缘承受的电压——取决于电压类型/绝缘材料特性。 直流电压下——绝缘等儿为绝缘电阻,随电压正比于绝缘电阻与电导成反比——主电气强度,电导率小的材料用在电场最强的地方 交流/冲击电压下——绝缘等效为电容,各导绝缘承受电压导电容成反比——高电气强度,介电常数小的材料电场最强处,电压分布与 成反比。 |
,戏固体电容,cx气隙或浸渍介质电容
,组合绝缘的相对介电常数


成反比。







