|
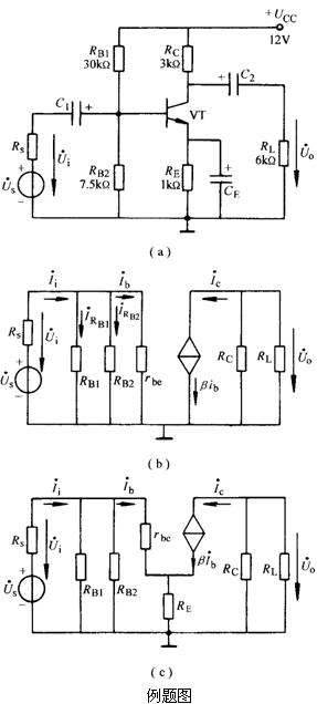
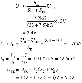
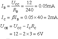
微变等效电路法仅用于对放大电路进行动态分析,不能计算直流静态工作点。 微变等效电路的实质是将由非线性元件三极管组成的交流放大电路等效成一个线性元件进行分析。 1.输入回路的微变等效电路 从晶体管的输入特性曲线可见,共射极接法的晶体管的输入回路可用管子的输入电阻 来等效代替。其输入回路的等效电路如图(b)左半部所示。 工作中rbe用下式估算:  IE是发射极静态电流,单位为mA。 从晶体管的输出特性曲线可见。晶体管输出回路可以等效为一个受控的恒流源,如图(b)右半部分所示。  一、放大电路的微变等效电路 画放大电路的微变等效电路的步骤是: (1)画出晶体管的微变等效电路,标定基极B、集电极C、发射极E和公共地的位置。 (2)将直流电源UCC及所有的电容短路(将放大电路转换成交流通路),再将其它元件对号入座。 二、放大器的性能分析 画出微变等效电路以后,就可以用求解线性电路的方法计算放大器的主要性能指标,包括电压放大倍数 、输入电阻ri和 输出电阻ro 。 1.电压放大倍数   当放大电路的输出端开路时,  2.输入电阻 ri 放大电路对信号源来说是一个负载,可以用一个电阻等效代替,这个电阻既是信号源的负载,又是放大电路的输入电阻。输入电阻定义为放大电路的输入电压与输入电流之比值,即  通常要求放大器的输入电阻高一些, ri愈大,放大电路从信号源吸取的电流愈小,减轻信号源的负担。 3.放大电路的输出电阻ro 对负载(或后一级放大电路)来说,放大电路相当于一个具有内阻ro 和Uo'恒压源的信号源,这个等效电源的内阻ro 就是放大电路的输出电阻。 ro越小,负载变化时,输出电压的变化也越小,说明放大电路带负载能力越强。 放大电路的输出电阻ro ,定义为  【例1】 在图(a)所示电路中,若晶体管为3DG100,已知在工作点处β=40 ,设UBE =0.7V。 (1)计算静态工作点; (2)求rbe ; (3)计算电压放大倍数 ; (4)若 CE 开路,再计算电压放大倍数 ; (5) CE未断开时,求放大电路的输入电阻 ri、输出电阻 rO。/  解:(1)确定静态工作点。  (2)求 rbe 。  (3)求 。 画出微变等效电路如图(b)。  (4)当CE开路时,微变等效电路如图(c)。  可见,在CE 开路时,电路的放大能力大大减小,因而在分压式静态工作点稳定电路中,通常需加旁路电容CE。 (5)由上图的图(b)微变等效电路得  【例2】共发射极基本放大电路如图所示,已知UCC=12V ,RC =3KΩ,RL=3KΩ,RA=24KΩ晶体管的β=40 。 (1)估算静态值Ia 、Ic 和uce ; (2)求出 A U、ri 、r0 。  解:(1)确定静态工作点  (2)放大倍数   |