电路节点电压法
时间:2023-03-13来源:佚名
|
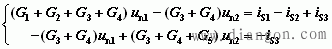
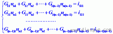
回路电流法自动满足KCL。那能否寻找另一组变量,使之自动满足KVL,不必列写对应的方程,以减少方程的个数?研究表明,若选节点电压为变量,则KVL自动满足。 在电路中任选某一节点为参考节点,则独立节点与参考节点之间的电压称为节点电压,方向为从独立节点指向参考节点。 ![]() 当以节点电压为未知量列电路方程、求出节点电压后,便可方便地得到各支路电压、电流。 节点电压法(Nodal Analysis):以节点电压为未知量,对独立节点列KCL电流方程分析电路的方法。 节点电压法的独立方程数为(n-1)个。 与支路电流法相比,方程数可减少b-( n-1)个。 节点电位法适用于支路数多,节点少的电路。如: ![]() 共a、b两个节点,b设为参考节点后,仅剩一个未知数(a点电位Va)。 怎样列写节点电压方程? 举例说明: (1)选定参考节点,标明其余 (n- 1)个独立节点的顺序号及电压。 ![]() 由节点电压可表示各支路电压: ![]() ![]() ![]() 上式简记为(节点电压方程的标准形式) 其中 iS11=iS1-iS2 iS3—流入节点1的电流源电流的代数和。 iS22= -iS3 —流入节点2的电流源电流的代数和。 iSk —流入节点时该项前面取正号,流出时取负号。 G11=G1 G2 G3 G4 —节点1的自电导,是该节点所有支路的电导之和。 G22=G3 G4 G5 — 节点2的自电导,是该节点所有支路的电导之和。 G12= G21 = -(G3 G4)—节点1与节点2间的互电导,是节点1与节点2间的所有支路的电导之和,并冠以负号。 ①自电导总为正,互电导总为负。 ②电流源支路电导为零。 节点电压方程的一般形式(独立节点数n-1): 其中 ![]() Gii ——自电导(简称自导),等于接在节点i上所有支路的电导之和(包括电压源与电阻串联支路)。总为正。 Gij=Gji——互电导(简称互导),等于接在节点i与节点j之间的所支路的电导之和,总为负。 iSii——流入节点i的所有电流源电流的代数和(包括由电压源与电阻串联支路等效的电流源)。 iSii——流入节点时该项前面取正号,流出时取负号。 当电路含受控源时,系数矩阵一般不再为对称阵。且有些结论也将不再成立。 节点法的一般步骤: (1)选定参考节点,标定n-1个独立节点; (2)对n-1个独立节点,以节点电压为未知量,列写其KCL方程; (3)求解上述方程,得到n-1个节点电压; (4)求各支路电流(用节点电压表示); (5)其它分析 电路的对偶性——对偶原理 网孔(回路)电流方程通式与节点电压方程通式互为对偶式。 ![]() ![]() |


















