串励电动机的工作特性
|
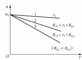
因为串励绕组与电枢绕组串联,故励磁电流与电枢电流相等,串励电动机的气隙磁通将随负载的变化而变化。 (1)转速调整特性 串励电动机当输出功率增加时,电枢电流随之增大,电枢回路的电阻压降也增大,气隙磁通也增大,这两个因素均使转速下降。所以转速随输出功率的增加而迅速下降. (2)转矩特性 由于串励电动机的转速随输出功率的增加而迅速下降,所以轴上的输出转矩将随输出功率的增加而迅速增加。 1.复励电动机的工作特性 复励电动机的工作特性介于他励与串励电动机之间。如果并励绕组的磁动势起主要作用,工作特性就接近于他励(并励)电动机,但和他励电动机相比,复励电动机有如下优点:当负载转矩突然增大时,由于串励绕组中的电流突然加大,磁通增大,使电磁转矩很快增大,这就使电动机能迅速适应负载的变化。其次,由于串励绕组的存在,即使当电枢反映的去磁作用较强时,仍能使电动机具有下降的转速调整特性,从而保证电动机能稳定运行。 如果是串励绕组的磁动势起主要作用,工作特性就接近于串励电动机,但这是因为有并励磁动势存在,电动机空载时不会有发生高速的危险。 2.直流电动机的机械特性 利用电动机拖动生产机械时,必须使电动机的工作特性满足生产机械提出的要求。在电动机的各类工作特性中首要的是机械特性。电动机的机械特性是指电动机的转速n与其转矩(电磁转矩)Tem之间的关系,即 必须指出,机械特性中的转矩是电磁转矩,它与电动机轴上的输出转矩T2是不同的,其间差一个空载转矩T0。只是由于在一般情况下,空载转矩T0与电磁转矩或负载转矩Tz相比较小,在一般工程计算中可以略去T0,而粗略地认为电磁转矩Tem与轴上的输出转矩Tz相等。 3.机械特性方程式 直流电动机的机械特性方程式,可根据直流电动机的基本方程导出。即 利用电流 利用电磁转矩 4.固有机械特性 当直流他励电动机端电压 固有机械特性的特性曲线如图中曲线1所示,其特点是: (1)对于任何一台直流电动机,其固有机械特性只有一条;图直流他励电动机的固有机械特 (2)由于 Δn较小,特性较平坦,属于硬特性。1-固有机械特性2.3-电枢串联电阻的人为机械特性 |
曲线。机械特性是电动机性能的主要表现,它与运动方程相联系,在很大程度上决定了拖动系统稳定运行和过渡过程的性质及特点。
表示的机械特性方程为
表示的机械特性方程为

,励磁电流
,电枢回路不串附加电阻时的机械特性称为固有机械特性。
较小,特性曲线的斜率β较小,性及电枢串接电阻时的人为机械特性 






