一阶电路的零输入响应的特征方程

时间:2023-03-13来源:佚名

一个动态电路的响应是各种能量来源共同作用的结果。作用于电路的能量来源于两个方面:

一是由外施激励(即独立电源)输入的;二是由电路中储能元件(L、C)储存的。

把某时刻t0的电容电压值和电感电流值称为电路在t0时刻的“状态”,则电路在某时刻t0之后的响应就是由外施激励“输入”和电容、电感在t0时刻的“状态”共同决定的。

零输入响应(zero-input response):动态电路没有外施电源激励,仅由动态元件的初始储能引起的电路响应。此时 uC ( 0 )或iL( 0 ) 被视为一种输入信号。
  1.RC电路零输入响应
  图示电路,求 uC(t)和 i(t)。
  解:由图可知,uC (0-) = U0
  一阶电路的零输入响应的特征方程
  一阶电路的零输入响应的特征方程
  由uC求得i为:
  一阶电路的零输入响应的特征方程
  讨论:
  (1)时间常数τ——反映了电路过渡过程时间的长短。
  物理意义:uC衰减到0.368UC(0 ) 所需的时间。
  一阶电路的零输入响应的特征方程
  从理论上讲 t →∞时,电路才能达到稳态。但实际上一般认为经过3τ-5τ 的时间, 过渡过程结束,电路已达到新的稳态。
  一阶电路的零输入响应的特征方程
  τ大:过渡过程时间长;τ小:过渡过程时间短。
  一阶电路的零输入响应的特征方程
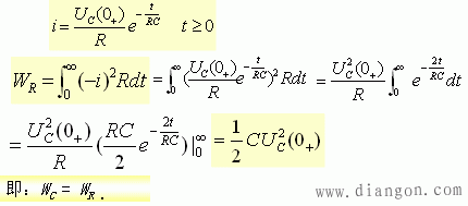
  (2)能量关系
  电容储存的能量: 一阶电路的零输入响应的特征方程
  电阻吸收(消耗)能量:
  一阶电路的零输入响应的特征方程
  C的能量不断释放,被R吸收, 直到全部储能消耗完毕。
  2.RL电路的零输入响应
  求电感电压uL(t)和电流i(t)。
  一阶电路的零输入响应的特征方程
  解:

一阶电路的零输入响应的特征方程
  3.一阶电路零输入响应解的一般公式
  一阶电路的零输入响应是由储能元件的初始值引起的响应,它们都是由初始值衰减为零的指数衰减函数。
  一阶电路的零输入响应的特征方程
  一阶电路的零输入响应和初始值成正比,称为零输入线性。
  (1)τ体现了一阶电路的固有特性,衰减快慢取决于时间常数τ。RC电路τ = RC,RL电路τ = L/R。
  (2) 同一电路中所有响应具有相同的时间常数。
  例5. 图示电路为一台300kW汽轮发电机的励磁回路。已知电压表量程为50V。开关未断开时,电路中电流已经恒定不变。
  一阶电路的零输入响应的特征方程
  在t = 0时S打开,现象:电压表坏了。试分析。
  分析:
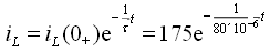
  iL (0 )=iL(0)=35/0.2=175 A= I0
  一阶电路的零输入响应的特征方程
   一阶电路的零输入响应的特征方程
  一阶电路的零输入响应的特征方程
  uV (0 )= -875 kV !
  猛的切断电感电流时,必须考虑磁场能量的释放。若能量较大,而又必须在短时间内完成电流的切断,则必须考虑如何熄灭因此而出现的电弧(一般出现在开关处)的问题。所以在断开前,应在它的两端并联上灭磁电阻。
  一阶电路的零输入响应的特征方程

    相关阅读

    选用熔断器保护电容器的注意事项

    熔断器一般用来切断电容 器内部短路电流,但不能检测出电容器 内部的早期故障,所以须与继电保护 配合,才能取得最佳防护效果。选择熔断器时应注意以下几点: (1)熔断器的额...
    2023-03-17

    事故预想:燃机满负荷正常运行中,一台88TK出现故障跳闸

    1.事故预想内容 :燃机满负荷正常运行中,一台88TK出现故障跳闸,燃机有哪些报警、故障现象,该如何处理?汽机锅炉应作哪些相应处理?如两台同时跳闸,燃机有哪些报警、故障现象...
    2023-06-13
    事故预想:燃机满负荷正常运行中,一台88TK出现故障跳闸

    对电气主接线的基本要求

    电气 主接线主要是指在发电厂、变电所、电力 系统中,为满足预定的功率传送和运行等要求而设计的、表明高压电气设备之间相互连接关系的传送电能的电路。电路中的高压电气设备包...
    2023-03-10
    对电气主接线的基本要求

    反馈放大电路的组成

    图1(a)是没有反馈的基本放大电路的框图。为了把放大电路的输出信号送回到放大电路的输入端,通常采用外接电阻或电容 器等元件组成引导反馈信号的电路,这个电路叫反馈电路,...
    2023-03-14

    固态继电器的优缺点

    1、固态继电器 的优点 (1)高寿命,高可靠:固态继电器没有机械零部件,有固体器件完成触点功能,由于没有运动的零部件,因此能在高冲击,振动的环境下工作,固态继电器的寿命...
    2023-03-14
    固态继电器的优缺点

    热销商品

    加厚abs安全帽电工建筑工地程施工领导监理透气防砸头盔可印字V型

    这款加厚ABS安全帽专为电工、建筑工地施工人员、领导及监理设计,采用高强度ABS工程塑料,抗冲击、防砸性能优异,有效保障头部安全。帽体加厚设计,增强耐用性与防护等级...
    5.8

    水口钳高硬度模型剪钳电子钳工业级口水剪斜嘴钳偏口斜口专用钳子

    水口钳高硬度模型剪钳是一款工业级精密工具,专为电子、模型制作及精细作业设计。采用优质高碳钢材质,经热处理工艺打造,具备卓越的硬度和耐磨性,可轻松剪切金属引脚、...
    4.8

    170电子剪钳II 如意斜口钳 工业斜嘴钳水口钳 模型剪塑胶钳尖嘴钳

    170电子剪钳II如意斜口钳是一款专业级精密工具,集工业斜嘴钳、水口钳、模型剪、塑胶钳与尖嘴钳功能于一体,适用于电子维修、模型制作、手工艺及精密作业。其采用优...
    4.5

    安全帽国标工地加厚施工领导透气安全头盔建筑工程监理免费印字

    本款安全帽严格遵循国家GB 2811-2019标准,专为建筑工程、工地施工及监理人员设计。采用高强度ABS工程塑料,加厚壳体有效抗冲击,保障头部安全。帽体轻盈透气,内置可调...
    10

    包邮三角型简易螺丝刀三角十字螺丝刀螺丝批改锥起子五金工具5mm

    这款5mm三角型简易螺丝刀,专为拧紧或拆卸三角形螺丝设计,适用于电子维修、家电维护及精密仪器装配等场景。采用优质合金钢材质,刀头硬度高、耐磨损,确保长久使用不变...
    3.64

    网站栏目