7次谐波磁动势
时间:2023-03-13来源:佚名
|
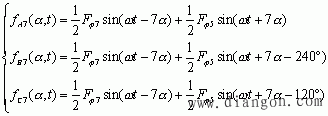
对7次谐波磁动势
利用三角函数变换,可得
三相磁动势的7次谐波合成:
可见7次谐波的合成磁动势是一下正弦分布、幅值不变的旋转磁动势,旋转的方向和基波相同,转速是基波的1/7,即
从上面分析可知,对称三相绕组合成磁动势中包含有 谐波磁动势(或相应的谐波磁场)的存在,在交流电机中引起附加损耗、振动和噪场等不良影响,对感应电动机还引起附加转矩,使电动机起动性能变坏,因此设计电动机应尽量削弱磁动势中的高次谐波,采用短距和分布绕组可以达到这个目的。 顺便指出,谐波磁动势也要在定子绕组中感应电动势,该电动势的频率为
该电动势的频率即为定子电流的频率,故这种电动势作为漏抗压降来处理,相应的漏电抗称为谐波漏电抗。 |
(1)
(2)
(3)
(4)
(k=1,2,3……)次谐波。当取加号时,即
,谐波磁动势的转向和基波转向相同;而取负号时,即
,谐波磁动势转向与基波的相反。
(5)





