变压器的短路试验
时间:2023-03-13来源:佚名
|
1.因短路试验电流大,电压低,一般在高压侧作,从等效电路可见.外加电压仅用来克服变压器本身的漏阻抗压降,所以当Uk很低时,电流即到达额定,该电压为(5-10%)Un。
图1 变压器的短路试验 此时由电源输入的功率Pk完全消耗在一、二次绕组铜耗上,即:
注意:1. 2.由于绕组的电阻随温度而高.而短路试验一般在室温下进行,所以计算的电阻必须换算到额定工作时的数据,按国际规定换算到75℃的数据。
上式中:θ:室温 T0:对铜线234.5,对铝线228 短路试验时使电流达到额定值时所加电压 阻抗电压用额定电压百分比表示时有:
阻抗电压百分比是铭牌数据之一, 是变压器的主要参数,阻抗电压的大小反映变压器在额定负载下运行时,漏阻抗压降的大小。 |
,且电压很低,所以
很小,Zm大.绝大部分电流流经
,可忽略激磁支路不计。
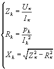
(1)
,读取Pk,Uk计算短路参数。
(2)
(3)
称为阻抗电压或短路电压。
(4)






