瞬变电抗和超瞬变电抗及其测定方法
时间:2023-03-13来源:佚名
|
1.瞬变和超瞬变电抗的物理意义 电枢反应电抗 突然短路时,电枢反应磁通 事实上,转子阻尼绕阻,励磁绕组都有电阻存在,因而电流相应要衰减,而阻尼绕组中的电阻较大,先衰减,则电枢反应磁通进入阻尼绕组。 最后当励磁绕组中的电流衰减后,电机进入稳态短中状态,定子电流由Xd所限制。
由上可知: 等效电路:
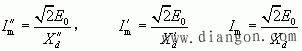
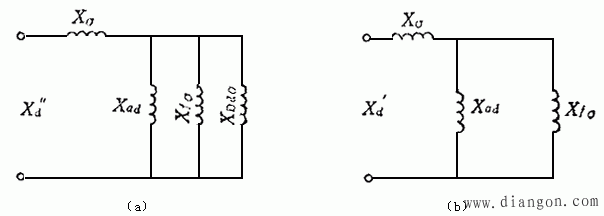
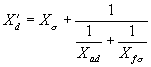
图1 d轴超瞬变和瞬变电抗的等效电路 当阻尼绕组中电流衰减后,则: 则: 式中 △如果突然短路不是发生在电枢端点上,由于线路电阻的作用,则短路电流中含有交轴分量,则相应有交轴瞬变电抗,
图2 q轴超瞬变和瞬变电抗的等效电路
2.瞬变和超瞬变电抗的测量。
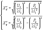
图3 超瞬变和瞬变电抗的测量 转子中电流最大时:U1→I1→P1→变压器作用强→ 转子中电流最小时:U2→I2→P2→变压器作用弱→ 则: 计及电阻,则 如果转子没有阻尼绕组,则所测的参数为 |
,其大小和电枢反应磁通
的路径的磁导
成正比。同步电抗
(含漏电抗)
被挤到沿阻尼绕组的漏磁路和励磁绕组的漏磁路,磁路的磁阻也大得多,相应地电枢反应电抗也小得多,即直轴电抗
也小得多,此电抗称为直轴超瞬变电抗
。
所对应的电抗称为直轴瞬变电抗,此时定子电流(周期性分量改由
限制)。





均为折算定子侧的漏电抗
由于交轴上没有励磁绕组。





。 




