对称式比例鉴频电路
时间:2023-03-13来源:佚名
|
从调频波中"检出"原来调制信号的过程称为调频波的解调,又叫鉴频。 实现鉴频的电路称为鉴频器,也叫频率检波器。常用的鉴频电路有比例鉴频电路和相位鉴频电路,它们的工作原理相同,都是先把等幅的调频波变换成幅度按调制信号规律变化的调频调幅波,然后,用振幅检波器把幅度的变化检出来,得到原来的调制信号,这一过程如图Z0919所示。实际电路中应用较多的是比例鉴频电路,比例鉴频电路有对称式和不对称式两种。对称式比例鉴频电路如图Z0920(a)所示,它由两部分组成。第一部分由电感线圈L11、L2、L12、L3及电容C1、C2组成,它把调频信号的频率变化转换成两个电压之间的相位差的变化;第二部分由D1、C3、R3和D2、C4、R4组成平衡式振幅检波电路,它把两个电压之间的相位差的变化变换为幅度的变化,并从中检出原来的调制信号。 电路中,C1、L11、L12和L2,C2组成双调谐回路,均谐振于载波频率f0(fC),D1、D2为检波二极管,R3、C3和R4、C4是它们的负载。要求电路对称即D1,D2的特性相同,R3=R4,C3 = C4。两只二极管顺向相接,与R3、R4和L2形成直流通路。CW容量较大(>10μF),有稳幅作用。 1.频幅转换过程图 Z0920(a)中,L12与L3为强耦合,L3产生的电压 与 大小相等,且同相或反相,这里取同相。L11、与L2的互感耦合,在次级回路C2两端产生电压U2,则次级两端与中心抽头之间的电压分别为 和 ,其等效电路如图Z0920(b)所示。由此可见,两个振幅检波器的输入电压 和 分别为:![]() 由于 是等幅的调频信号,对应 的不同频率,次级回路所呈现的阻抗性质和大小也各不相同,因此,次级电压 也随之变化,于是,合成电压 和 的大小将随的 频率变化而变化。可用向量分析如下:(1)当f = f0,即调频信号 的频率f等于中心频率时(电路谐振),初级线圈L11的电流 的相位滞后 90°,而次级回路中产生的感应电动势 与 反相并滞后 90°。由于次级回路处于谐振状态,其电流 与 必然同相,而 在电容C2上产生的电压 又滞后 90°,它们的相位关系如图Z0921(a)所示。结果使 与 相位差90°,合成电压 如图I0997(a)所示。可见, 和 大小相等即:| | = | |; (2)当f > f0,即调频信号U1的频率f大于中心频率时, 、 、 的关系仍和f = f0情况一样,只是由于f > f0时,次级回路因失谐而呈现电感性(ωL2>1/ωC2),于是 滞后 一个相角,而 又滞后 90°,如图Z0921(b)所示,结果 与 相位差小于90°,合成电压如图I0997(b)所示。可见, 的幅度大于 的幅度,即| | > | |;(3)当f < f0时,即调频信号 的频率f小于中心频率时, 、 、 关系仍不改变,但次级回路因失谐而呈现电容性(ωL2<1/ωC2),于是 超前 一个角度,而 又滞后 90°,如图Z0921(c)所示,结果, 与 的相位差大于90°,合成电压如图Z0922(c)所示。可见, 的幅度小于 的幅度即:| | < | |。由此可见,调频信号的频率偏移(±△f)通过鉴频器的谐振回路,转换为 、 幅度的变化,完成了调频--调幅波的转换。 2.检波过程当次级回路的调频信号使D1、D2导通时,D1的检波电流经C3→L3回到L2的上半段;D2的检波电流由L2的中点→L3→C4→D2,回到L2的下半段,分别给C3、C4充上同向电压 , 。与此同时,D1、D2导通也给CW充电,而充电回路的时间常数远小于由CW、R3、R4构成的放电回路的时间常数。CW两端的电压被充至U2的峰值电压,即UW≈U2,由图Z0922(a)可知: 因为R3=R4,检波电路的直流通路建立的UR3=UR4=UW/2,检波电路的输出电压: U0 = UPD = -UC3 UC4 = = (UC4 -UC3)/2 GS0920UC3,UC4分别是 、 产生的检波电流在C3、C4上形成的电压,即UC3=K| | ,UC4 = K| |,K为检波电路的传输系数,因此: U0 = K(| | -| |)/2所以,检波输出调制电压(如用于伴音时,调制电压为音频电压)也有下列情况: (1)当 f = fO时,| | = | |,U0 = 0(2)当 f > fO时,(即f。 △f );| | > | |,UC3 >UC4,Uo< 0;(3)当 f < fO时,(即f。- △f),| | < | |,UC3 < UC4,Uo�� 0。这就完成了检波过程。 以上分析可知,鉴频电路当输入调频信号时,输出电压在一定范围内输出正或负的电 压,且输出电压Uo在一定范围内与频偏△f成正比。当超出这个范围,则LC回路失谐,Uo反而跌落。根据这一特点,可画出如图Z0923所示的鉴频器输出电压与输入信号的频偏变化的关系曲线,称为鉴频特性曲线。 将 代入式GS0920可得:![]() 上式可见,Uo不取决于UC3 、UC4本身的大小,而是取决于它们的比值,故称它为比例鉴频器。因此,当输入信号的振幅变化时,UC3 、UC4也同比例变化,只要UW及UC3 与UC4的比值不变,其输出电压就保持不变。由于CW容量很大,其充电电压相当稳定,使输出电压不受寄生调幅的影响,故此鉴频电路还有限幅作用。 在实际的鉴频电路中,往往给D1,D2串接如图Z0920(a)中所示的均衡电阻R1、R2以调节两检波电路的性能,使之易于对称。 |
实现鉴频的电路称为鉴频器,也叫频率检波器。常用的鉴频电路有比例鉴频电路和相位鉴频电路,它们的工作原理相同,都是先把等幅的调频波变换成幅度按调制信号规律变化的调频调幅波,然后,用振幅检波器把幅度的变化检出来,得到原来的调制信号,这一过程如图Z0919所示。实际电路中应用较多的是比例鉴频电路,比例鉴频电路有对称式和不对称式两种。
1.频幅转换过程
与
大小相等,且同相或反相,这里取同相。L11、与L2的互感耦合,在次级回路C2两端产生电压U2,则次级两端与中心抽头之间的电压分别为
和
,其等效电路如图Z0920(b)所示。由此可见,两个振幅检波器的输入电压
和
分别为:
由于
也随之变化,于是,合成电压
的相位滞后
与
必然同相,而
又滞后
(2)当f > f0,即调频信号U1的频率f大于中心频率时,
2.检波过程
,
。与此同时,D1、D2导通也给CW充电,而充电回路的时间常数远小于由CW、R3、R4构成的放电回路的时间常数。CW两端的电压被充至U2的峰值电压,即UW≈U2,由图Z0922(a)可知:
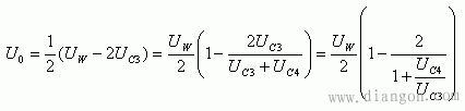
= (UC4 -UC3)/2 GS0920
代入式GS0920可得:








