应变片式传感器工作原理及特性
|
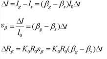
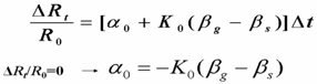
1、电阻应变片工作原理 电阻应变片的工作原理是基于应变效应,即导体或半导体材料在外界力的作用下产生机械变形时,其电阻值相应发生变化,这种现象称为“应变效应”。 2、应变片的种类、材料及粘贴 金属电阻应变片的种类有丝式和箔式两种。 1)丝式:直径0.01~0.05mm,材料为胶膜、纸、玻璃纤维布等。 2)箔式应变片:直径0.003~0.01mm 原理:它是利用照相制版或光刻腐蚀法将电阻箔材在绝缘基底上制成各种图形的应变片; 优点: 1)敏感栅尺寸准确,线条均匀; 2)其弯头横向效应可以忽略; 3)可通过较大的电流; 4)散热性好,寿命长; 5)生产效率高; 3、电阻应变片的特性 (一)电阻应变片主要特性: 1)灵敏系数 2)横向效应 3)机械滞后,零漂及蠕变 4)温度效应 5)应变极限、疲劳寿命 6)动态响应特性 (二)应变片的温度误差及补偿 由于测量现场环境温度的改变而给测量带来的附加误差,称为应变片的温度误差。 1)电阻温度系数的影响 敏感栅的电阻丝阻值随温度变化的关系可用下式表示: Rt=R0(1 α0Δt) ΔRα=Rt-R0=R0α0Δt 2)试件材料和电阻丝材料的线膨胀系数的影响。试件与电阻丝线膨胀系数不同时,产生附加电阻变化。 由于温度变化而引起的应变片总电阻相对变化量为: 可知,因环境温度变化而引起的附加电阻的相对变化量,除了与环境温度有关外,还与应变片自身的性能参数(K0, α0, βs)以及被测试件线膨胀系数βg有关。 通常温度误差补偿方法有两类: 1)线路补偿法 完全补偿: ①R3=R4; ②R1和RB相同; ③粘贴材料一样; ④同一温度场 2)应变片的自补偿法 则被测试件的线膨胀系数βg已知时,如果合理选择敏感栅材料,则达到温度自补偿的目的。 (三)应变片式电阻传感器的测量电路 直流电桥 直流电桥平衡条件 直流电桥电压灵敏度 电桥的非线性误差 直流电桥平衡条件: 交流电桥 交流电桥的平衡条件 交流应变电桥的输出特性及平衡调节 直流电桥输出电压很小,须放大但直流放大器易于产生零漂。 交流电桥平衡调节: (四)电阻应变片的选择、粘贴技术 1)目测电阻应变片有无折痕.断丝等缺陷,有缺陷的应变片不能粘贴。 2)用数字万用表测量应变片电阻值大小。同一电桥中各应变片之间阻值相差不得大于0.5欧姆. 3)试件表面处理:贴片处置用细纱纸打磨干净,用 酒精棉球反复擦洗贴处,直到棉球无黑迹为止。 4)应变片粘贴:在应变片基底上挤一小滴502胶水,轻轻涂抹均匀,立即放在应变贴片位置。 5)焊线:用电烙铁将应变片的引线焊接到导引线上。 6)用兆欧表检查应变片与试件之间的绝缘组织,应大于500M欧。 7)应变片保护:用704硅橡胶覆于应变片上,防止受潮。 |














