ROM的工作原理
时间:2023-03-13来源:佚名
|
为简单起见,以图1所示的二极管存储器为例来说明ROM的工作原理。
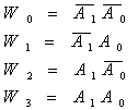
(1)存储阵列 地址译码器具有如下特点: (1)最小项译码 n个地址变量A0~An-1最小项的数目是N=2n,译码器的输出字线的数目也为N条:W0~WN-1。图10.1.2所示,当ROM地址译码器有两个输入地址代码A1和A0,全部最小项为 。即共有N= =4个最小项及4条字线,最小项其编号如表10.1.1所示。故地址译码器也是最小项译码器。四个地址的存储内容也列于表1中。(2)N取1译码 这就是说,无论An-1…A1A0为何种取值,N条字线W0~WN-1中只能有一条为高电平。因此,地址译码器是N取1译码器。 ![]() 表1 N取1译码及ROM存储内容 ROM就其电路的总体结构来看:
·地址译码器是一个“与”逻辑阵列。 参考二极管“与”门逻辑电路,会发现图1的译码器含有四个"与"门: ![]() ·存储阵列是一个“或”逻辑阵列 参考二极管“或”门逻辑电路,会发现图1储存阵列中含有四个"或"门: ![]() 有了上述的两个概念,我们可以将图1所示的ROM电路可以简单表示成图2所示的简化电路。将有二极管的基本存储单元用一黑点表示。 ROM的存储阵列也可由双极型晶体管和MOS型场效应管构成,分别如图3和图4所示。存储阵列中每个基本存储单元存储内容也是以该单元有无管子来表示的。
在图4中,若W0~W3中某字线被选中输出高电平,使接在这条字线上的所有NMOS管导通,这些管子的漏极所接的位线为低电平,经反相器后,使数据输出端输出信息1。 |


。即共有N=
=4个最小项及4条字线,最小项其编号如表10.1.1所示。故地址译码器也是最小项译码器。四个地址的存储内容也列于表1中。













