电枢反应电抗和同步电抗的概念
|
1.隐极同步电机的电枢反应: 隐极同步电机有一个特点就是定转子之间的气隙是均匀分布的。电枢磁动势作用在任一位置,其效果是一样的
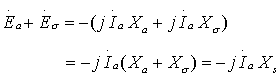
其中的 Xa 称为电枢反应电抗。在同样大小电流情况下,如果 Xa 越大,电枢反应电势也越大,表示着电枢磁势所产生的电枢磁通很强。因此 Xa 的大小可以说明电枢反应的强弱。 当然,电枢电流除了产生主磁通外,还要产生一定的漏磁通,由于漏磁通也会交链电枢绕组,所以对应产生电动势 Eσ 所以在三相对称电流通过电枢绕组后,所产生的匝链定子绕组的磁通为( 电枢反应磁通及漏磁通所产生的作用,可以通过同步电抗压降的形式来表示。 同步电机在正常状态下工作,磁路略呈饱和。磁路的饱和程度越高,它的磁阻便越大,所对应的电抗便函越小。所以Xa或XS的大小是随着磁路饱和程度的改变而改变的。 2.凸极同步电机: 电枢磁动势作用在不同的位置,产生不同的效果 双反应理论:磁动势Fa分解成沿直轴和交轴方向的两个分量,分别求它们的作用,最后将效果叠加。
直轴电枢磁势固定地作用在直轴磁路上,对应于一个恒定不变的磁阻,产生磁通
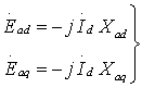
和隐极电机一样,直轴和交轴电枢反应电抗各和定子漏抗相加,便可以得到直轴同步电抗和交轴同步电抗,即
注意:在直轴磁路上,由于气隙小,磁阻小,所以Xad较大。在交轴磁路上,由于气隙很大,磁阻大,所以Xaq较小。当直轴及交轴的同步电抗相等时,就是隐极电机。 |


α 
称为隐极同步电机的同步电抗。








