伺服电动机动力参数确定
时间:2023-03-13来源:佚名
|
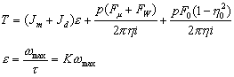
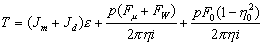
一、伺服电动机负载转矩的计算 ![]() 二、电动机最大转矩的确定 伺服电动机在快速启动时的负载转矩一般比正常运行时的负载转矩要大得多,所以电动机的最大转矩常按启动时的负载转矩来确定,即要求: ![]() Tq—电动机启动时的负载转矩; Tmax—电动机的最大转矩; Tr—电动机的额定转矩; Λ—电动机的瞬时过载系数。 ![]() 三、电动机额定转矩的确定 伺服电动机额定转矩Tr可按连续运行时作用在电动机轴上的负载转矩T来确定,即要求 ![]() ![]() |












